【优化布局】基于差分进化算法求解电力系统负荷分配中的应用问题matlab代码

163 阅读7分钟

1 简介

差分进化算法在处理连续域、非凸、不确定性和全局优化问题时具有优势,已在包括电力系统最优潮流在内的诸多领域得到广泛应用。电力系统最优潮流是一个复杂的非线性优化问题,要求在满足特定的电力系统运行安全约束条件下,通过调整系统中的控制手段实现预定目标最优的系统稳定运行状态,其已经成为电力系统规划、经济调度和市场交易等领域的基础性工具。实际上,电力系统运行中客观上存在诸多不确定因素,尤其是近年来随着大量新能源接入和负荷成份日益复杂,与电力系统运行决策密切相关的短期负荷预测和最优潮流问题不确定特征日趋突出。为此,本文以差分进化算法及其在电力系统随机最优潮流中的应用研究为题展开研究。结合电力系统负荷不确定性及其随机最优潮流的工程特点,对基于差分进化粗糙集决策连续属性的模糊离散化方法和模糊粗糙集属性的简约方法进行了算法创新研究;研究了基于差分进化算法的电力系统短期负荷不确定性预测方法,以获得负荷概率分布特征,研究了基于差分进化算法的考虑负荷不确定性的随机最优潮流求解问题。本文旨在通过差分进化算法及其应用的创新研究,为电力系统短期负荷不确定性预测和随机最优潮流问题求解提供新的方法,从而为电力系统分析和决策提供更加丰富的信息。该研究具有重要的科学和工程意义。 影响电力系统短期负荷的因素如用电规律、温度、风速等因素具有随机、粗糙、模糊等不确定特征,短期负荷预测中属性一般是真实、连续和模糊的。虽然传统粗糙集理论在处理上述不确定问题上具有优势,但其只能直接处理离散属性。为此,本文进行了基于差分进化的连续属性模糊离散化算法设计的创新研究。算法设计采用二进制离散编码,种群个体采用实数串表示,增强对局部最优点的搜索;设计了模糊隶属度函数与适应度函数,适应度函数由离散的断点数与等价类共同确定。由此提出了一种基于差分进化算法的粗糙集理论中处理连续性和模糊性问题的新算法。算例仿真表明了算法的有效性,为处理影响短期负荷的连续和模糊属性因素提供了更加可靠的离散化处理方法。 在基于差分进化的连续属性模糊离散化基础上,考虑粗糙集决策表属性存在重要性、相关性、冗余的差异且具有模糊性的实际特点,研究了模糊粗糙集的属性简约问题,提出了一种基于差分进化的模糊粗糙集属性简约新算法。算法通过二进制离散编码和适应值函数的设计,控制个体向最小的属性简约的方向进化,引入模糊正域下的决策属性对条件属性的依赖度来定义适应值函数。仿真实验表明,本文所提出的基于差分进化的模糊粗糙集属性简约新算法不但能正确而快速地搜索到最小的属性简约,而且当数据规模较大时,更能节省运算时间。与基于遗传算法的属性简约方法相比,其收敛速度快而种群规模小。应用实例表明,该新算法可方便而高效、可靠地用于处理电力系统短期负荷不确定性预测属性问题。 针对影响电力系统短期负荷因素属性的不确定性和差异性实际,本文进一步提出了一种基于差分进化模糊粗糙集属性简约和支持向量机的短期负荷不确定性预测新算法。一方面将算法应用于电力系统短期负荷不确定性预测,实现基于差分进化算法对负荷预测的历史样本进行连续属性模糊离散化,通过对负荷预测的历史样本进行模糊粗糙集属性动态简约,从而挖掘出与电力负荷属性取值关系最紧密的简约属性集,运用改进后的模糊C均值算法对模糊粗糙集简约得到的主要属性进行聚类,基于蒙特卡罗方法和最小二乘支持向量基方法进行电力系统短期负荷不确定性预测。算例结果表明:与传统支持向量基算法相比,文中提出的方法具有预测平均相对误差小、算法运行时间短、预测的不合格点的个数少等优点。另一方面将算法用于含分布式电源的母线净负荷不确定性预测研究,算例结果也验证了所提算法的有效性。上述算法可获得负荷概率分布特征,从而为随机最优潮流问题中提供准确的负荷不确定性描述模型。 在应用差分进化算法获得电力系统负荷不确定性分布特征的基础上,借鉴基于差分进化算法对确定性最优潮流求解方法,​

2 部分代码

clc

clear all

close all

%差分进化算法程序基本程序

F0=0.5;%是变异率    

Gm=1000; %最大迭代次数

pd=10500;%系统电力需求总量

Np=100; %种群规模

CR=0.9; %杂交参数

G=1;%初始化代数

DD=40;%所求问题的维数

ge=zeros(1,Np);%各代的最优值

X1=zeros(Np,DD);%各代的最优解

xmax=[114 114 120 190  97 140 300 300 300 300 375 375 500 500 500 500 500 500 550 550 550 550 550 550 550 550 150 150 150 97 190 190 190 200 200 200 110 110 110 550];

xmin=[36 36 60 80 47 68 110 135 135 130 94 94 125 125 125 125 220 220 242 242 254 254 254 254 254 254 10 10 10 47 60 60 60 90 90 90 25 25 25 242];%解可行域

figure

ii=linspace(1,Np,Np);

plot(ge)

[gmin,n]=min(ge); %各代进行比较取得最优值

% bestvalue=gmin

% bestsolution=X1(n,:)

%目标函数的倒数

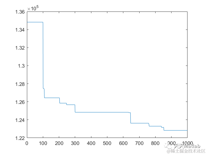
3 仿真结果

4 参考文献

[1]吴亮红等. "基于快速自适应差分进化算法的电力系统经济负荷分配." 控制与决策 28.4(2013):557-562.

5 MATLAB代码与数据下载地址

见博客主页