【优化求解】基于金枪鱼算法求解目标matlab代码

293 阅读1分钟

1 简介

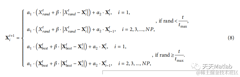
In this paper, a novel swarm-based metaheuristic algorithm is proposed, which is called tuna swarm optimization (TSO). .emain inspiration for TSO is based on the cooperative foraging behavior of tuna swarm. .e work mimics two foraging behaviors oftuna swarm, including spiral foraging and parabolic foraging, for developing an effffective metaheuristic algorithm. .e performance of TSO is evaluated by comparison with other metaheuristics on a set of benchmark functions and several realengineering problems. Sensitivity, scalability, robustness, and convergence analyses were used and combined with the Wilcoxonrank-sum test and Friedman test. .e simulation results show that TSO performs better compared to othercomparative algorithms.

2 部分代码

%___________________________________________________________________%
%                   Tuna swarm optimization (TSO)                 %
%                                                                   %
% Developed in MATLAB R2016b                                       %
                                             %
%___________________________________________________________________%

% To run TSO: [Best_score,Best_pos,TSO_cg_curve]=TSO_final_version_submit(Particles_no,Max_iter,lb,ub,Dim,fobj);
%__________________________________________

clear all 
clc

Particles_no=30; % Number of search agents

Function_name='F3'; % Name of the test function that can be from F1 to F23 (Table 1,2,3 in the paper)

Max_iter=500; % Maximum numbef of iterations

% Load details of the selected benchmark function
[lb,ub,Dim,fobj]=Get_Functions_details(Function_name);

[Best_score,Best_pos,TSO_cg_curve]=TSO_final_version_submit(Particles_no,Max_iter,lb,ub,Dim,fobj);

figure('Position',[500 500 660 290])
%Draw search space
subplot(1,2,1);
func_plot(Function_name);
title('Parameter space')
xlabel('x_1');
ylabel('x_2');
zlabel([Function_name,'( x_1 , x_2 )'])

%Draw objective space
subplot(1,2,2);
semilogy(TSO_cg_curve,'Color','r')
title('Objective space')
xlabel('Iteration');
ylabel('Best score obtained so far');

axis tight
grid on
box on
legend('TSO')

display(['The best solution obtained by TSO is : ', num2str(Best_pos)]);
display(['The best optimal value of the objective funciton found by TSO is : ', num2str(Best_score)]);  

3 仿真结果

4 参考文献

[1] Guelcue, S. , &  Ko Da Z, H. . (2015). A novel parallel multi-swarm algorithm based on comprehensive learning particle swarm optimization. Engineering Applications of Artificial Intelligence, 45(OCT.), 33-45.

部分理论引用网络文献,若有侵权联系博主删除。

5 MATLAB代码与数据下载地址

见博客主页