Java实现LeetCode 题号:911 - 920

221 阅读4分钟

「这是我参与2022首次更文挑战的第37天,活动详情查看:2022首次更文挑战」。

LeetCode习题集 有些题可能直接略过了,整理一下之前刷leetcode

911. 在线选举

给你两个整数数组 persons 和 times 。在选举中,第 i 张票是在时刻为 times[i] 时投给候选人 persons[i] 的。

对于发生在时刻 t 的每个查询,需要找出在 t 时刻在选举中领先的候选人的编号。

在 t 时刻投出的选票也将被计入我们的查询之中。在平局的情况下,最近获得投票的候选人将会获胜。

实现 TopVotedCandidate 类:

  • TopVotedCandidate(int[] persons, int[] times) 使用 persons 和 times 数组初始化对象。
  • int q(int t) 根据前面描述的规则,返回在时刻 t 在选举中领先的候选人的编号。

 

示例:

输入:
["TopVotedCandidate", "q", "q", "q", "q", "q", "q"]
[[[0, 1, 1, 0, 0, 1, 0], [0, 5, 10, 15, 20, 25, 30]], [3], [12], [25], [15], [24], [8]]
输出:
[null, 0, 1, 1, 0, 0, 1]

解释:
TopVotedCandidate topVotedCandidate = new TopVotedCandidate([0, 1, 1, 0, 0, 1, 0], [0, 5, 10, 15, 20, 25, 30]);
topVotedCandidate.q(3); // 返回 0 ,在时刻 3 ,票数分布为 [0] ,编号为 0 的候选人领先。
topVotedCandidate.q(12); // 返回 1 ,在时刻 12 ,票数分布为 [0,1,1] ,编号为 1 的候选人领先。
topVotedCandidate.q(25); // 返回 1 ,在时刻 25 ,票数分布为 [0,1,1,0,0,1] ,编号为 1 的候选人领先。(在平局的情况下,1 是最近获得投票的候选人)。
topVotedCandidate.q(15); // 返回 0
topVotedCandidate.q(24); // 返回 0
topVotedCandidate.q(8); // 返回 1

 

提示:

  • 1 <= persons.length <= 5000
  • times.length == persons.length
  • 0 <= persons[i] < persons.length
  • 0 <= times[i] <= 109
  • times 是一个严格递增的有序数组
  • times[0] <= t <= 109
  • 每个测试用例最多调用 104 次 q
PS:
    自定义结构体Vote,人和时间
    A是在下标为票数的里面加上当前的人和时间
    然后查询的时候,
    二分遍历每个点,看当前点数的第一个人的时间是为t
    然后找当前点数里面,时间为t的人
class TopVotedCandidate {
    List<List<Vote>> A;
    public TopVotedCandidate(int[] persons, int[] times) {
        A = new ArrayList();
        Map<Integer, Integer> count = new HashMap();
        for (int i = 0; i < persons.length; ++i) {
            int p = persons[i], t = times[i];
            int c = count.getOrDefault(p, 0) + 1;

            count.put(p, c);
            while (A.size() <= c)
                A.add(new ArrayList<Vote>());
            A.get(c).add(new Vote(p, t));
        }
    }

    public int q(int t) {
        //先二分比较对应的点数
        int lo = 1, hi = A.size();
        while (lo < hi) {
            int mi = lo + (hi - lo) / 2;
            if (A.get(mi).get(0).time <= t)
                lo = mi + 1;
            else
                hi = mi;
        }
        int i = lo - 1;

        
        lo = 0; hi = A.get(i).size();
        while (lo < hi) {
            int mi = lo + (hi - lo) / 2;
            if (A.get(i).get(mi).time <= t)
                lo = mi + 1;
            else
                hi = mi;
        }
        int j = Math.max(lo-1, 0);
        return A.get(i).get(j).person;
    }
}

class Vote {
    int person, time;
    Vote(int p, int t) {
        person = p;
        time = t;
    }
}

912. 排序数组

给你一个整数数组 nums,请你将该数组升序排列。

 

示例 1:

输入: nums = [5,2,3,1]
输出: [1,2,3,5]

示例 2:

输入: nums = [5,1,1,2,0,0]
输出: [0,0,1,1,2,5]

 

提示:

  • 1 <= nums.length <= 5 * 104
  • -5 * 104 <= nums[i] <= 5 * 104
PS:
    如果直接暴力排序会超时,n^22.5*10^9
    这里采用计数排序
    用数值当作下标
    这里为了更加高效,直接用最大值和最小值的差当作下标,存的时候减去min,取得时候再加上min
class Solution {
     public int[] sortArray(int[] nums) {
        int max = -50001, min = 50001;
        for (int num: nums) {
            max = Math.max(num, max);
            min = Math.min(num, min);
        }


        int[] counter = new int[max - min + 1];
        for (int num: nums) {
            counter[num - min]++;
        }

        int idx = 0;
        for (int num = min; num <= max; num++) {
            int cnt = counter[num - min];
            while (cnt-- > 0) {
                nums[idx++] = num;
            }
        }
        return nums;
    }
}

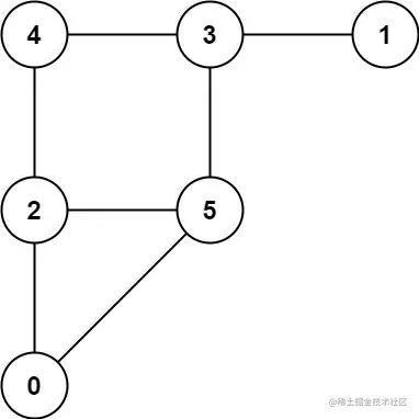
913. 猫和老鼠

两位玩家分别扮演猫和老鼠,在一张 无向 图上进行游戏,两人轮流行动。

图的形式是:graph[a] 是一个列表,由满足 ab 是图中的一条边的所有节点 b 组成。

老鼠从节点 1 开始,第一个出发;猫从节点 2 开始,第二个出发。在节点 0 处有一个洞。

在每个玩家的行动中,他们 必须 沿着图中与所在当前位置连通的一条边移动。例如,如果老鼠在节点 1 ,那么它必须移动到 graph[1] 中的任一节点。

此外,猫无法移动到洞中(节点 0)。

然后,游戏在出现以下三种情形之一时结束:

  • 如果猫和老鼠出现在同一个节点,猫获胜。
  • 如果老鼠到达洞中,老鼠获胜。
  • 如果某一位置重复出现(即,玩家的位置和移动顺序都与上一次行动相同),游戏平局。

给你一张图 graph ,并假设两位玩家都都以最佳状态参与游戏:

  • 如果老鼠获胜,则返回 1
  • 如果猫获胜,则返回 2
  • 如果平局,则返回 0 。

 

示例 1:

输入: graph = [[2,5],[3],[0,4,5],[1,4,5],[2,3],[0,2,3]]
输出: 0

示例 2:

输入: graph = [[1,3],[0],[3],[0,2]]
输出: 1

 

提示:

  • 3 <= graph.length <= 50
  • 1 <= graph[i].length < graph.length
  • 0 <= graph[i][j] < graph.length
  • graph[i][j] != i
  • graph[i] 互不相同
  • 猫和老鼠在游戏中总是移动
class Solution {
    static final int MOUSE_WIN = 1;
    static final int CAT_WIN = 2;
    static final int DRAW = 0;
    int n;
    int[][] graph;
    int[][][] dp;
        //初始化,给每个位置都赋值-1
    public int catMouseGame(int[][] graph) {
        this.n = graph.length;
        this.graph = graph;
        this.dp = new int[n][n][n * 2];
        for (int i = 0; i < n; i++) {
            for (int j = 0; j < n; j++) {
                Arrays.fill(dp[i][j], -1);
            }
        }
        return getResult(1, 2, 0);
    }
    //结束条件,如果mouse走了就是mouse赢,如果猫遇到耗子,直接猫赢
    //其他时刻继续跑,一个跑一个抓
    public int getResult(int mouse, int cat, int turns) {
        if (turns == n * 2) {
            return DRAW;
        }
        if (dp[mouse][cat][turns] < 0) {
            if (mouse == 0) {
                dp[mouse][cat][turns] = MOUSE_WIN;
            } else if (cat == mouse) {
                dp[mouse][cat][turns] = CAT_WIN;
            } else {
                getNextResult(mouse, cat, turns);
            }
        }
        return dp[mouse][cat][turns];
    }
    //深度搜索,如果到了某个位置,必须跳到graph[i]中的一个,到新的坐标继续递归
    //结果如果有变动就记录新的结果,用数组实时记录每一步的结果
    public void getNextResult(int mouse, int cat, int turns) {
        int curMove = turns % 2 == 0 ? mouse : cat;
        int defaultResult = curMove == mouse ? CAT_WIN : MOUSE_WIN;
        int result = defaultResult;
        int[] nextNodes = graph[curMove];
        for (int next : nextNodes) {
            if (curMove == cat && next == 0) {
                continue;
            }
            int nextMouse = curMove == mouse ? next : mouse;
            int nextCat = curMove == cat ? next : cat;
            int nextResult = getResult(nextMouse, nextCat, turns + 1);
            if (nextResult != defaultResult) {
                result = nextResult;
                if (result != DRAW) {
                    break;
                }
            }
        }
        dp[mouse][cat][turns] = result;
    }
}

914. 卡牌分组

给定一副牌,每张牌上都写着一个整数。

此时,你需要选定一个数字 X,使我们可以将整副牌按下述规则分成 1 组或更多组:

  • 每组都有 X 张牌。
  • 组内所有的牌上都写着相同的整数。

仅当你可选的 X >= 2 时返回 true

 

示例 1:

输入: deck = [1,2,3,4,4,3,2,1]
输出: true
解释: 可行的分组是 [1,1][2,2][3,3][4,4]

示例 2:

输入: deck = [1,1,1,2,2,2,3,3]
输出: false
解释: 没有满足要求的分组。


提示:

  • 1 <= deck.length <= 104
  • 0 <= deck[i] < 104
PS:
    这里要保证的是每个组的都有相同的数量,并且这个数量要大于1
    我们统计每个数的数量
    我们直接看他们的最大公约数,如果他们的最大公约数大于等于2就符合
    如果数的数量是X的两倍,可以分为两个组,每个组都是这个数,符合题意了,
    或者更多分成三个组,
    至于这些数能几个分成一个组,就看他们的最大公约数
class Solution {
    public boolean hasGroupsSizeX(int[] deck) {
        int[] count = new int[deck.length + 1];
        // int max = -1;
        for (int i : deck) {
            count[i]++;
            // max = Math.max(count[i], max);
        }
        int res = count[deck[0]];
        for (int i : count) {
            if (i > 0) {
                res = gcd(res, i);
            }
        }
        return res >= 2;




        //求最大公约数
        //
        // int min = 2;
        // while (min <= max) {
        //     int i;
        //     for (i = 0; i < count.length; i++) {
        //         if (count[i] % min != 0) {
        //             min++;
        //             break;
        //         }
        //     }
        //     if (i == count.length) {
        //         return true;
        //     }
        // }
        // return false;
    }
    public int gcd(int a, int b) {
        return b == 0 ? a : gcd(b, a % b);
    }
}

915. 分割数组

难度中等95收藏分享切换为英文接收动态反馈

给定一个数组 nums ,将其划分为两个连续子数组 left 和 right, 使得:

  • left 中的每个元素都小于或等于 right 中的每个元素。
  • left 和 right 都是非空的。
  • left 的长度要尽可能小。

在完成这样的分组后返回 left 的 长度

用例可以保证存在这样的划分方法。

 

示例 1:

输入: nums = [5,0,3,8,6]
输出: 3
解释: left = [5,0,3]right = [8,6]

示例 2:

输入: nums = [1,1,1,0,6,12]
输出: 4
解释: left = [1,1,1,0]right = [6,12]

 

提示:

  • 2 <= nums.length <= 105
  • 0 <= nums[i] <= 106
  • 可以保证至少有一种方法能够按题目所描述的那样对 nums 进行划分。
PS;
    这里直接是换一种做法,
        记录顺序的最高的点,记录逆序的最低的点
        因为要保证顺序的小于逆序的点
        只要顺序最高的小于逆序最低的,那么就符合规律了
class Solution {
    public int partitionDisjoint(int[] A) {
        int N = A.length;
        int[] maxleft = new int[N];
        int[] minright = new int[N];

        int m = A[0];
        for (int i = 0; i < N; ++i) {
            m = Math.max(m, A[i]);
            maxleft[i] = m;
        }

        m = A[N-1];
        for (int i = N-1; i >= 0; --i) {
            m = Math.min(m, A[i]);
            minright[i] = m;
        }

        for (int i = 1; i < N; ++i)
            if (maxleft[i-1] <= minright[i])
                return i;

        throw null;
    }
}

916. 单词子集

给你两个字符串数组 words1 和 words2

现在,如果 b 中的每个字母都出现在 a 中,包括重复出现的字母,那么称字符串 b 是字符串 a 的 子集 。

  • 例如,"wrr" 是 "warrior" 的子集,但不是 "world" 的子集。

如果对 words2 中的每一个单词 bb 都是 a 的子集,那么我们称 words1 中的单词 a 是 **通用单词 **。

以数组形式返回 words1 中所有的通用单词。你可以按 任意顺序 返回答案。

 

示例 1:

输入: words1 = ["amazon","apple","facebook","google","leetcode"], words2 = ["e","o"]
输出: ["facebook","google","leetcode"]

示例 2:

输入: words1 = ["amazon","apple","facebook","google","leetcode"], words2 = ["l","e"]
输出: ["apple","google","leetcode"]

示例 3:

输入: words1 = ["amazon","apple","facebook","google","leetcode"], words2 = ["e","oo"]
输出: ["facebook","google"]

示例 4:

输入: words1 = ["amazon","apple","facebook","google","leetcode"], words2 = ["lo","eo"]
输出: ["google","leetcode"]

示例 5:

输入: words1 = ["amazon","apple","facebook","google","leetcode"], words2 = ["ec","oc","ceo"]
输出: ["facebook","leetcode"]

 

提示:

  • 1 <= words1.length, words2.length <= 104
  • 1 <= words1[i].length, words2[i].length <= 10
  • words1[i] 和 words2[i] 仅由小写英文字母组成
  • words1 中的所有字符串 互不相同
PS:
    凡是任意的顺序,我们都可以用统计字符数量来计算
    首先找到 b 每个字符最多的数量,只要符合每个字符最多的数量,就符合所有b
    然后循环 a ,只要有一个不符合直接跳过当前a,
     循环完都没有跳过,添加到结果中
class Solution {
    public List<String> wordSubsets(String[] A, String[] B) {
        int[] bmax = count("");
        for (String b: B) {
            int[] bCount = count(b);
            for (int i = 0; i < 26; ++i)
                bmax[i] = Math.max(bmax[i], bCount[i]);
        }

        List<String> ans = new ArrayList();
        search: for (String a: A) {
            int[] aCount = count(a);
            for (int i = 0; i < 26; ++i)
                if (aCount[i] < bmax[i])
                    continue search;
            ans.add(a);
        }

        return ans;
    }

    public int[] count(String S) {
        int[] ans = new int[26];
        for (char c: S.toCharArray())
            ans[c - 'a']++;
        return ans;
    }
}

917. 仅仅反转字母

难度简单100收藏分享切换为英文接收动态反馈

给定一个字符串 S,返回 “反转后的” 字符串,其中不是字母的字符都保留在原地,而所有字母的位置发生反转。

 

示例 1:

输入: "ab-cd"
输出: "dc-ba"

示例 2:

输入: "a-bC-dEf-ghIj"
输出: "j-Ih-gfE-dCba"

示例 3:

输入: "Test1ng-Leet=code-Q!"
输出: "Qedo1ct-eeLg=ntse-T!"

 

提示:

  1. S.length <= 100
  2. 33 <= S[i].ASCIIcode <= 122 
  3. S 中不包含 `` or "

PS:
    因为要反转字符串,我们直接正序用栈存字符串
    然后循环原字符串,如果是字母就弹出一个字符,如果是 - 就添加一个 -
    最后返回拼成的字符串
    
class Solution {
    public String reverseOnlyLetters(String S) {
        Stack<Character> letters = new Stack();
        for (char c: S.toCharArray())
            if (Character.isLetter(c))
                letters.push(c);

        StringBuilder ans = new StringBuilder();
        for (char c: S.toCharArray()) {
            if (Character.isLetter(c))
                ans.append(letters.pop());
            else
                ans.append(c);
        }

        return ans.toString();
    }
}

918. 环形子数组的最大和

给定一个长度为 n 的环形整数数组 nums ,返回 nums 的非空 子数组 的最大可能和

环形数组 **意味着数组的末端将会与开头相连呈环状。形式上, nums[i] 的下一个元素是 nums[(i + 1) % n] , nums[i] 的前一个元素是 nums[(i - 1 + n) % n] 。

子数组 最多只能包含固定缓冲区 nums 中的每个元素一次。形式上,对于子数组 nums[i], nums[i + 1], ..., nums[j] ,不存在 i <= k1, k2 <= j 其中 k1 % n == k2 % n 。

 

示例 1:

输入: nums = [1,-2,3,-2]
输出: 3
解释: 从子数组 [3] 得到最大和 3

示例 2:

输入: nums = [5,-3,5]
输出: 10
解释: 从子数组 [5,5] 得到最大和 5 + 5 = 10

示例 3:

输入: nums = [3,-2,2,-3]
输出: 3
解释: 从子数组 [3][3,-2,2] 都可以得到最大和 3

 

提示:

  • n == nums.length
  • 1 <= n <= 3 * 104
  • -3 * 104 <= nums[i] <= 3 * 104​​​​​​​
PS:
    因为这是循环的,所以我们要分成左右
    前缀和,加最大后缀和(先求后缀和,在加上每个位置的最大后缀和)

class Solution {
    public int maxSubarraySumCircular(int[] A) {
        int N = A.length;

        int ans = A[0], cur = A[0];
        for (int i = 1; i < N; ++i) {
            cur = A[i] + Math.max(cur, 0);
            ans = Math.max(ans, cur);
        }

        // 计算后缀和 

        // rightsums[i] = A[i] + A[i+1] + ... + A[N-1]
        int[] rightsums = new int[N];
        rightsums[N-1] = A[N-1];
        for (int i = N-2; i >= 0; --i)
            rightsums[i] = rightsums[i+1] + A[i];

        // 然后在计算每个后缀和在当前位置的最大值
        int[] maxright = new int[N];
        maxright[N-1] = A[N-1];
        for (int i = N-2; i >= 0; --i)
            maxright[i] = Math.max(maxright[i+1], rightsums[i]);

        // 对于每一个i  保证 j >= i+2
        //然后用前缀和加上当前位置的后缀和
        int leftsum = 0;
        for (int i = 0; i < N-2; ++i) {
            leftsum += A[i];
            ans = Math.max(ans, leftsum + maxright[i+2]);
        }

        return ans;
    }
}
 

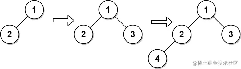
919. 完全二叉树插入器

难度中等60收藏分享切换为英文接收动态反馈

完全二叉树 是每一层(除最后一层外)都是完全填充(即,节点数达到最大)的,并且所有的节点都尽可能地集中在左侧。

设计一种算法,将一个新节点插入到一个完整的二叉树中,并在插入后保持其完整。

实现 CBTInserter 类:

  • CBTInserter(TreeNode root) 使用头节点为 root 的给定树初始化该数据结构;
  • CBTInserter.insert(int v)  向树中插入一个值为 Node.val == val的新节点 TreeNode。使树保持完全二叉树的状态,并返回插入节点 TreeNode 的父节点的值
  • CBTInserter.get_root() 将返回树的头节点。

 

示例 1:

输入
["CBTInserter", "insert", "insert", "get_root"]
[[[1, 2]], [3], [4], []]
输出
[null, 1, 2, [1, 2, 3, 4]]

解释
CBTInserter cBTInserter = new CBTInserter([1, 2]);
cBTInserter.insert(3);  // 返回 1
cBTInserter.insert(4);  // 返回 2
cBTInserter.get_root(); // 返回 [1, 2, 3, 4]

 

提示:

  • 树中节点数量范围为 [1, 1000] 
  • 0 <= Node.val <= 5000
  • root 是完全二叉树
  • 0 <= val <= 5000 
  • 每个测试用例最多调用 insert 和 get_root 操作 104 次
class CBTInserter {
    TreeNode root;
    Deque<TreeNode> deque;
    public CBTInserter(TreeNode root) {
        this.root = root;
        deque = new LinkedList();
        Queue<TreeNode> queue = new LinkedList();
        queue.offer(root);

        // BFS构建完全二叉树,构建的过程中要记录缺少子结点的结点
        while (!queue.isEmpty()) {
            TreeNode node = queue.poll();
            if (node.left == null || node.right == null)
                deque.offerLast(node);
            if (node.left != null)
                queue.offer(node.left);
            if (node.right != null)
                queue.offer(node.right);
        }
    }
    //拿出子结点,如果子节点缺少左结点,就把新节点给左结点
    //缺少右结点就把新节点给右结点
    public int insert(int v) {
        TreeNode node = deque.peekFirst();
        deque.offerLast(new TreeNode(v));
        if (node.left == null)
            node.left = deque.peekLast();
        else {
            node.right = deque.peekLast();
            deque.pollFirst();
        }

        return node.val;
    }

    public TreeNode get_root() {
        return root;
    }
}