Vue从基础到进阶

222 阅读3分钟

Vue 使用

1、面试分析

对于Vue、react、webpack等技术,面试官一般从以下三个方面检验:

image.png

image.png

2、 Vue基础使用

image.png

指令、插槽

image.png

代码演示:

<template>
    <div>
        <p>文本插值 {{message}}</p>
        <p>JS 表达式 {{ flag ? 'yes' : 'no' }} (只能是表达式,不能是 js 语句)</p>

        <p :id="dynamicId">动态属性 id</p>

        <hr/>
        <p v-html="rawHtml">
            <span>有 xss 风险</span>
            <span>【注意】使用 v-html 之后,将会覆盖子元素</span>
        </p>
        <!-- 其他常用指令后面讲 -->
    </div>
</template>

<script>
export default {
    data() {
        return {
            message: 'hello vue',
            flag: true,
            rawHtml: '指令 - 原始 html <b>加粗</b> <i>斜体</i>',
            dynamicId: `id-${Date.now()}`
        }
    }
}
</script>

computed 和 watch

image.png

代码演示: computed

<template>
    <div>
        <p>num {{num}}</p>
        <p>double1 {{double1}}</p>
        <input v-model="double2"/>
    </div>
</template>

<script>
export default {
    data() {
        return {
            num: 20
        }
    },
    computed: {
        double1() {
            return this.num * 2
        },
        double2: {
            get() {
                return this.num * 2
            },
            set(val) {
                this.num = val/2
            }
        }
    }
}
</script>

代码演示: watch

<template>
    <div>
        <input v-model="name"/>
        <input v-model="info.city"/>
    </div>
</template>

<script>
export default {
    data() {
        return {
            name: '双越',
            info: {
                city: '北京'
            }
        }
    },
    watch: {
        name(oldVal, val) {
            // eslint-disable-next-line
            console.log('watch name', oldVal, val) // 值类型,可正常拿到 oldVal 和 val
        },
        info: {
            handler(oldVal, val) {
                // eslint-disable-next-line
                console.log('watch info', oldVal, val) // 引用类型,拿不到 oldVal 。因为指针相同,此时已经指向了新的 val
            },
            deep: true // 深度监听
        }
    }
}
</script>

class 和 style

image.png

代码演示:

<template>
    <div>
        <p :class="{ black: isBlack, yellow: isYellow }">使用 class</p>
        <p :class="[black, yellow]">使用 class (数组)</p>
        <p :style="styleData">使用 style</p>
    </div>
</template>

<script>
export default {
    data() {
        return {
            isBlack: true,
            isYellow: true,

            black: 'black',
            yellow: 'yellow',

            styleData: {
                fontSize: '40px', // 转换为驼峰式
                color: 'red',
                backgroundColor: '#ccc' // 转换为驼峰式
            }
        }
    }
}
</script>

<style scoped>
    .black {
        background-color: #999;
    }
    .yellow {
        color: yellow;
    }
</style>

条件渲染

image.png

代码演示

<template>
    <div>
        <p v-if="type === 'a'">A</p>
        <p v-else-if="type === 'b'">B</p>
        <p v-else>other</p>

        <p v-show="type === 'a'">A by v-show</p>
        <p v-show="type === 'b'">B by v-show</p>
    </div>
</template>

<script>
export default {
    data() {
        return {
            type: 'a'
        }
    }
}
</script>

循环(列表)的渲染

image.png

代码演示

<template>
    <div>
        <p>遍历数组</p>
        <ul>
            <li v-for="(item, index) in listArr" :key="item.id">
                {{index}} - {{item.id}} - {{item.title}}
            </li>
        </ul>

        <p>遍历对象</p>
        <ul >
            <li v-for="(val, key, index) in listObj" :key="key">
                {{index}} - {{key}} -  {{val.title}}
            </li>
        </ul>
    </div>
</template>

<script>
export default {
    data() {
        return {
            flag: false,
            listArr: [
                { id: 'a', title: '标题1' }, // 数据结构中,最好有 id ,方便使用 key
                { id: 'b', title: '标题2' },
                { id: 'c', title: '标题3' }
            ],
            listObj: {
                a: { title: '标题1' },
                b: { title: '标题2' },
                c: { title: '标题3' },
            }
        }
    }
}
</script>

事件

image.png 代码演示

<template>
    <div>
        <p>{{num}}</p>
        <button @click="increment1">+1</button>
        <button @click="increment2(2, $event)">+2</button>
    </div>
</template>

<script>
export default {
    data() {
        return {
            num: 0
        }
    },
    methods: {
        increment1(event) {
            // eslint-disable-next-line
            console.log('event', event, event.__proto__.constructor) // 是原生的 event 对象
            // eslint-disable-next-line
            console.log(event.target)
            // eslint-disable-next-line
            console.log(event.currentTarget) // 注意,事件是被注册到当前元素的,和 React 不一样
            this.num++

            // 1. event 是原生的
            // 2. 事件被挂载到当前元素
            // 和 DOM 事件一样
        },
        increment2(val, event) {
            // eslint-disable-next-line
            console.log(event.target)
            this.num = this.num + val
        },
        loadHandler() {
            // do some thing
        }
    },
    mounted() {
        window.addEventListener('load', this.loadHandler)
    },
    beforeDestroy() {
        //【注意】用 vue 绑定的事件,组建销毁时会自动被解绑
        // 自己绑定的事件,需要自己销毁!!!
        window.removeEventListener('load', this.loadHandler)
    }
}
</script>

image.png

image.png

表单

image.png

<template>
    <div>
        <p>输入框: {{name}}</p>
        <input type="text" v-model.trim="name"/>
        <input type="text" v-model.lazy="name"/>
        <input type="text" v-model.number="age"/>

        <p>多行文本: {{desc}}</p>
        <textarea v-model="desc"></textarea>
        <!-- 注意,<textarea>{{desc}}</textarea> 是不允许的!!! -->

        <p>复选框 {{checked}}</p>
        <input type="checkbox" v-model="checked"/>

        <p>多个复选框 {{checkedNames}}</p>
        <input type="checkbox" id="jack" value="Jack" v-model="checkedNames">
        <label for="jack">Jack</label>
        <input type="checkbox" id="john" value="John" v-model="checkedNames">
        <label for="john">John</label>
        <input type="checkbox" id="mike" value="Mike" v-model="checkedNames">
        <label for="mike">Mike</label>

        <p>单选 {{gender}}</p>
        <input type="radio" id="male" value="male" v-model="gender"/>
        <label for="male"></label>
        <input type="radio" id="female" value="female" v-model="gender"/>
        <label for="female"></label>

        <p>下拉列表选择 {{selected}}</p>
        <select v-model="selected">
            <option disabled value="">请选择</option>
            <option>A</option>
            <option>B</option>
            <option>C</option>
        </select>

        <p>下拉列表选择(多选) {{selectedList}}</p>
        <select v-model="selectedList" multiple>
            <option disabled value="">请选择</option>
            <option>A</option>
            <option>B</option>
            <option>C</option>
        </select>
    </div>
</template>

<script>
export default {
    data() {
        return {
            name: '双越',
            age: 18,
            desc: '自我介绍',

            checked: true,
            checkedNames: [],

            gender: 'male',

            selected: '',
            selectedList: []
        }
    }
}
</script>

3、Vue组件使用

image.png

props 和 $emit、自定义事件

代码演示: Index

<template>
    <div>
        <Input @add="addHandler"/>
        <List :list="list" @delete="deleteHandler"/>
    </div>
</template>

<script>
import Input from './Input'
import List from './List'

export default {
    components: {
        Input,
        List
    },
    data() {
        return {
            list: [
                {
                    id: 'id-1',
                    title: '标题1'
                },
                {
                    id: 'id-2',
                    title: '标题2'
                }
            ]
        }
    },
    methods: {
        addHandler(title) {
            this.list.push({
                id: `id-${Date.now()}`,
                title
            })
        },
        deleteHandler(id) {
            this.list = this.list.filter(item => item.id !== id)
        }
    },
    created() {
        // eslint-disable-next-line
        console.log('index created')
    },
    mounted() {
        // eslint-disable-next-line
        console.log('index mounted')
    },
    beforeUpdate() {
        // eslint-disable-next-line
        console.log('index before update')
    },
    updated() {
        // eslint-disable-next-line
        console.log('index updated')
    },
}
</script>

代码演示: Input

<template>
    <div>
        <input type="text" v-model="title"/>
        <button @click="addTitle">add</button>
    </div>
</template>

<script>
import event from './event'

export default {
    data() {
        return {
            title: ''
        }
    },
    methods: {
        addTitle() {
            // 调用父组件的事件
            this.$emit('add', this.title)

            // 调用自定义事件
            event.$emit('onAddTitle', this.title)

            this.title = ''
        }
    }
}
</script>

代码演示: List

<template>
    <div>
        <ul>
            <li v-for="item in list" :key="item.id">
                {{item.title}}

                <button @click="deleteItem(item.id)">删除</button>
            </li>
        </ul>
    </div>
</template>

<script>
import event from './event'

export default {
    // props: ['list']
    props: {
        // prop 类型和默认值
        list: {
            type: Array,
            default() {
                return []
            }
        }
    },
    data() {
        return {

        }
    },
    methods: {
        deleteItem(id) {
            this.$emit('delete', id)
        },
        addTitleHandler(title) {
            // eslint-disable-next-line
            console.log('on add title', title)
        }
    },
    created() {
        // eslint-disable-next-line
        console.log('list created')
    },
    mounted() {
        // eslint-disable-next-line
        console.log('list mounted')

        // 绑定自定义事件
        event.$on('onAddTitle', this.addTitleHandler)
    },
    beforeUpdate() {
        // eslint-disable-next-line
        console.log('list before update')
    },
    updated() {
        // eslint-disable-next-line
        console.log('list updated')
    },
    beforeDestroy() {
        // 及时销毁,否则可能造成内存泄露
        event.$off('onAddTitle', this.addTitleHandler)
    }
}
</script>

代码演示: event.js

import Vue from 'vue'

export default new Vue()

生命周期(单个组件)

image.png

image.png

生命周期(父子组件)

image.png

image.png

image.png

4、Vue高级特性

image.png

自定义 v-modol

<template>
    <!-- 例如:vue 颜色选择 -->
    <input type="text"
        :value="text1"
        @input="$emit('change1', $event.target.value)"
    >
    <!--
        1. 上面的 inputx 使用了 :value 而不是 v-model
        2. 上面的 change1 和 model.event1 要对应起来
        3. text1 属性对应起来
    -->
</template>

<script>
export default {
    model: {
        prop: 'text1', // 对应 props text1
        event: 'change1'
    },
    props: {
        text1: String,
        default() {
            return ''
        }
    }
}
</script>

$nextTick

image.png

代码演示

<template>
  <div id="app">
    <ul ref="ul1">
        <li v-for="(item, index) in list" :key="index">
            {{item}}
        </li>
    </ul>
    <button @click="addItem">添加一项</button>
  </div>
</template>

<script>
export default {
  name: 'app',
  data() {
      return {
        list: ['a', 'b', 'c']
      }
  },
  methods: {
    addItem() {
        this.list.push(`${Date.now()}`)
        this.list.push(`${Date.now()}`)
        this.list.push(`${Date.now()}`)

        // 1. 异步渲染,$nextTick 待 DOM 渲染完再回调
        // 3. 页面渲染时会将 data 的修改做整合,多次 data 修改只会渲染一次
        this.$nextTick(() => {
          // 获取 DOM 元素
          const ulElem = this.$refs.ul1
          // eslint-disable-next-line
          console.log( ulElem.childNodes.length )
        })
    }
  }
}
</script>

slot

image.png

代码演示:基本使用

<template>
    <a :href="url">
        <slot>
            默认内容,即父组件没设置内容时,这里显示
        </slot>
    </a>
</template>

<script>
export default {
    props: ['url'],
    data() {
        return {}
    }
}
</script>

父组件引用:
...
<SlotDemo :url="website.url">
    {{website.title}}
</SlotDemo>
...
data(){
    return {
        website: {
        url: 'http://imooc.com/',
        title: 'imooc',
        subTitle: '程序员的梦工厂'
        }
    }
}
...

代码演示: 作用域插槽

<template>
    <a :href="url">
        <slot :slotData="website">
            {{website.subTitle}} <!-- 默认值显示 subTitle ,即父组件不传内容时 -->
        </slot>
    </a>
</template>

<script>
export default {
    props: ['url'],
    data() {
        return {
            website: {
                url: 'http://wangEditor.com/',
                title: 'wangEditor',
                subTitle: '轻量级富文本编辑器'
            }
        }
    }
}
</script>
父组件引用:
...

<ScopedSlotDemo :url="website.url">
    <template v-slot="slotProps">
        {{slotProps.slotData.title}}
    </template>
</ScopedSlotDemo>

...
data(){
    return {
        website: {
        url: 'http://imooc.com/',
        title: 'imooc',
        subTitle: '程序员的梦工厂'
        }
    }
}
...

image.png

动态组件

image.png

代码演示

<div id="example">
  <button @click="change">切换页面</button>
  <component :is="currentView"></component>
</div>

<script>
new Vue({
  el: '#example',
  data:{
    index:0,
    arr:[
      {template:`<div>我是主页</div>`},
      {template:`<div>我是提交页</div>`},
      {template:`<div>我是存档页</div>`}
    ],
  },
  computed:{
    currentView(){
        return this.arr[this.index];
    }
  },
  methods:{
    change(){
      this.index = (++this.index)%3;
    }
  }
})
</script>

异步组件

image.png

代码演示:

<template>
    <div>
        <!-- 异步组件 -->
        <FormDemo v-if="showFormDemo"/>
        <button @click="showFormDemo = true">show form demo</button>
    </div>
</template>

<script>
export default {
    components: {
        FormDemo: () => import('../BaseUse/FormDemo'), 
    },
    data() {
        return {
            showFormDemo: false
        }
    }
}
</script>

keep-alive

image.png

代码演示:

<template>
    <div>
        <button @click="changeState('A')">A</button>
        <button @click="changeState('B')">B</button>
        <button @click="changeState('C')">C</button>

        <keep-alive> <!-- tab 切换 -->
            <KeepAliveStageA v-if="state === 'A'"/> <!-- v-show -->
            <KeepAliveStageB v-if="state === 'B'"/>
            <KeepAliveStageC v-if="state === 'C'"/>
        </keep-alive>
    </div>
</template>

<script>
import KeepAliveStageA from './KeepAliveStateA'
import KeepAliveStageB from './KeepAliveStateB'
import KeepAliveStageC from './KeepAliveStateC'

export default {
    components: {
        KeepAliveStageA,
        KeepAliveStageB,
        KeepAliveStageC
    },
    data() {
        return {
            state: 'A'
        }
    },
    methods: {
        changeState(state) {
            this.state = state
        }
    }
}
</script>

mixin

image.png

代码演示:

<template>
    <div>
        <p>{{name}} {{major}} {{city}}</p>
        <button @click="showName">显示姓名</button>
    </div>
</template>

<script>
import myMixin from './mixin'

export default {
    mixins: [myMixin], // 可以添加多个,会自动合并起来
    data() {
        return {
            name: '双越',
            major: 'web 前端'
        }
    },
    methods: {
    },
    mounted() {
        // eslint-disable-next-line
        console.log('component mounted', this.name)
    }
}
</script>

maxin.js

export default {
    data() {
        return {
            city: '北京'
        }
    },
    methods: {
        showName() {
            // eslint-disable-next-line
            console.log(this.name)
        }
    },
    mounted() {
        // eslint-disable-next-line
        console.log('mixin mounted', this.name)
    }
}

5、Vuex 的使用

image.png

image.png

6、Vue-router 的使用

image.png

路由模式

image.png

image.png

动态路由

image.png

懒加载

image.png

Vue 原理

image.png

image.png

image.png

1、Vue 组件化 (如何理解 MVVM )

image.png

image.png

image.png

image.png

2、Vue 响应式 (监听 data变化的核心 API)

image.png

image.png

defineProperty 的基本用法

image.png

definedProperty 的缺点?

image.png

代码演示深度监听对象和数组

// 触发更新视图
function updateView() {
    console.log('视图更新')
}

// 重新定义数组原型
const oldArrayProperty = Array.prototype
// 创建新对象,原型指向 oldArrayProperty ,再扩展新的方法不会影响原型
const arrProto = Object.create(oldArrayProperty);
['push', 'pop', 'shift', 'unshift', 'splice'].forEach(methodName => {
    arrProto[methodName] = function () {
        updateView() // 触发视图更新
        oldArrayProperty[methodName].call(this, ...arguments)
        // Array.prototype.push.call(this, ...arguments)
    }
})

// 重新定义属性,监听起来
function defineReactive(target, key, value) {
    // 深度监听
    observer(value)

    // 核心 API
    Object.defineProperty(target, key, {
        get() {
            return value
        },
        set(newValue) {
            if (newValue !== value) {
                // 深度监听
                observer(newValue)

                // 设置新值
                // 注意,value 一直在闭包中,此处设置完之后,再 get 时也是会获取最新的值
                value = newValue

                // 触发更新视图
                updateView()
            }
        }
    })
}

// 监听对象属性
function observer(target) {
    if (typeof target !== 'object' || target === null) {
        // 不是对象或数组
        return target
    }

    // 污染全局的 Array 原型
    // Array.prototype.push = function () {
    //     updateView()
    //     ...
    // }

    if (Array.isArray(target)) {
        target.__proto__ = arrProto
    }

    // 重新定义各个属性(for in 也可以遍历数组)
    for (let key in target) {
        defineReactive(target, key, target[key])
    }
}

// 准备数据
const data = {
    name: 'zhangsan',
    age: 20,
    info: {
        address: '北京' // 需要深度监听
    },
    nums: [10, 20, 30]
}

// 监听数据
observer(data)

// 测试
// data.name = 'lisi'
// data.age = 21
// // console.log('age', data.age)
// data.x = '100' // 新增属性,监听不到 —— 所以有 Vue.set
// delete data.name // 删除属性,监听不到 —— 所有已 Vue.delete
// data.info.address = '上海' // 深度监听
data.nums.push(4) // 监听数组

3、虚拟 DOM (Virtual DOM) 和 diff

image.png

image.png

vdom

image.png

image.png

image.png

image.png

diff 算法

image.png

image.png

image.png

image.png

image.png

image.png

image.png

vdom 和 diff 算法总结

image.png

image.png

4、模版编译

image.png

image.png

width 语法

image.png

image.png

模版编译

image.png

代码演示:

const compiler = require('vue-template-compiler')

// 插值
// const template = `<p>{{message}}</p>`
// with(this){return createElement('p',[createTextVNode(toString(message))])}
// h -> vnode
// createElement -> vnode

// // 表达式
// const template = `<p>{{flag ? message : 'no message found'}}</p>`
// // with(this){return _c('p',[_v(_s(flag ? message : 'no message found'))])}

// // 属性和动态属性
// const template = `
//     <div id="div1" class="container">
//         <img :src="imgUrl"/>
//     </div>
// `
// with(this){return _c('div',
//      {staticClass:"container",attrs:{"id":"div1"}},
//      [
//          _c('img',{attrs:{"src":imgUrl}})])}

// // 条件
// const template = `
//     <div>
//         <p v-if="flag === 'a'">A</p>
//         <p v-else>B</p>
//     </div>
// `
// with(this){return _c('div',[(flag === 'a')?_c('p',[_v("A")]):_c('p',[_v("B")])])}

// 循环
// const template = `
//     <ul>
//         <li v-for="item in list" :key="item.id">{{item.title}}</li>
//     </ul>
// `
// with(this){return _c('ul',_l((list),function(item){return _c('li',{key:item.id},[_v(_s(item.title))])}),0)}

// 事件
// const template = `
//     <button @click="clickHandler">submit</button>
// `
// with(this){return _c('button',{on:{"click":clickHandler}},[_v("submit")])}

// v-model
const template = `<input type="text" v-model="name">`
// 主要看 input 事件
// with(this){return _c('input',{directives:[{name:"model",rawName:"v-model",value:(name),expression:"name"}],attrs:{"type":"text"},domProps:{"value":(name)},on:{"input":function($event){if($event.target.composing)return;name=$event.target.value}}})}

// render 函数
// 返回 vnode
// patch

// 编译
const res = compiler.compile(template)
console.log(res.render)

// ---------------分割线--------------

// // 从 vue 源码中找到缩写函数的含义
// function installRenderHelpers (target) {
//     target._o = markOnce;
//     target._n = toNumber;
//     target._s = toString;
//     target._l = renderList;
//     target._t = renderSlot;
//     target._q = looseEqual;
//     target._i = looseIndexOf;
//     target._m = renderStatic;
//     target._f = resolveFilter;
//     target._k = checkKeyCodes;
//     target._b = bindObjectProps;
//     target._v = createTextVNode;
//     target._e = createEmptyVNode;
//     target._u = resolveScopedSlots;
//     target._g = bindObjectListeners;
//     target._d = bindDynamicKeys;
//     target._p = prependModifier;
// }

image.png

image.png

image.png

组件渲染/更新的过程

image.png

image.png

初次渲染

image.png

image.png

更新过程

image.png

image.png

异步渲染

image.png

image.png

image.png

image.png

5、前端路由原理

image.png

image.png

image.png

hash 特点

image.png

<!DOCTYPE html>
<html lang="en">
<head>
    <meta charset="UTF-8">
    <meta name="viewport" content="width=device-width, initial-scale=1.0">
    <meta http-equiv="X-UA-Compatible" content="ie=edge">
    <title>hash test</title>
</head>
<body>
    <p>hash test</p>
    <button id="btn1">修改 hash</button>

    <script>
        // hash 变化,包括:
        // a. JS 修改 url
        // b. 手动修改 url 的 hash
        // c. 浏览器前进、后退
        window.onhashchange = (event) => {
            console.log('old url', event.oldURL)
            console.log('new url', event.newURL)

            console.log('hash:', location.hash)
        }

        // 页面初次加载,获取 hash
        document.addEventListener('DOMContentLoaded', () => {
            console.log('hash:', location.hash)
        })

        // JS 修改 url
        document.getElementById('btn1').addEventListener('click', () => {
            location.href = '#/user'
        })
    </script>
</body>
</html>

h5 history 的特点

image.png

<!DOCTYPE html>
<html lang="en">
<head>
    <meta charset="UTF-8">
    <meta name="viewport" content="width=device-width, initial-scale=1.0">
    <meta http-equiv="X-UA-Compatible" content="ie=edge">
    <title>history API test</title>
</head>
<body>
    <p>history API test</p>
    <button id="btn1">修改 url</button>

    <script>
        // 页面初次加载,获取 path
        document.addEventListener('DOMContentLoaded', () => {
            console.log('load', location.pathname)
        })

        // 打开一个新的路由
        // 【注意】用 pushState 方式,浏览器不会刷新页面
        document.getElementById('btn1').addEventListener('click', () => {
            const state = { name: 'page1' }
            console.log('切换路由到', 'page1')
            history.pushState(state, '', 'page1') // 重要!!
        })

        // 监听浏览器前进、后退
        window.onpopstate = (event) => { // 重要!!
            console.log('onpopstate', event.state, location.pathname)
        }

        // 需要 server 端配合,可参考
        // https://router.vuejs.org/zh/guide/essentials/history-mode.html#%E5%90%8E%E7%AB%AF%E9%85%8D%E7%BD%AE%E4%BE%8B%E5%AD%90
    </script>
</body>
</html>

image.png

image.png

Vue 面试高频

1、v-show 和 v-if的区别?

image.png

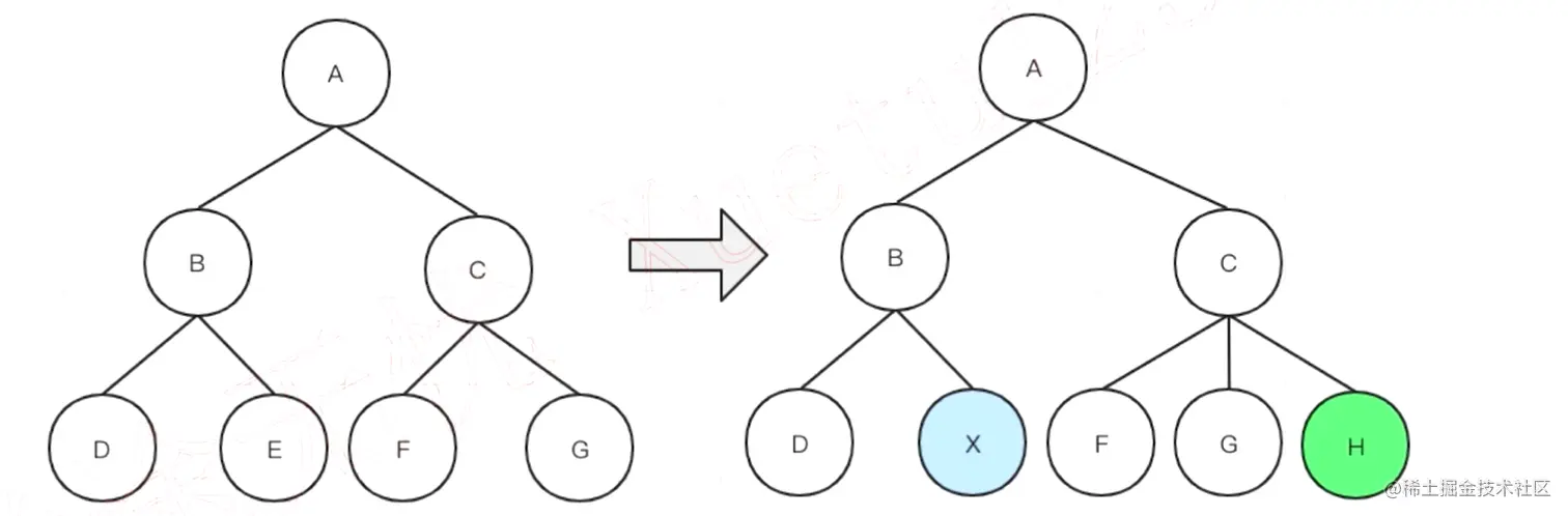
2、为何在 v-for 中使用 key?

image.png

3、描述 Vue 组件的生命周期,包括父子组件?

image.png

4、Vue 组件如何通讯?

image.png

5、描述组件渲染/更新的过程?

image.png

6、双向数据绑定 v-modol 的实现原理?

image.png

7、对 MVVM 的理解?

image.png

8、 computed 有什么特点?

image.png

9、 为何组件 data 必须是一个函数?

因为每个 .vue 文件其实是一个class类,每次使用vue文件的时候,其实是实例化一个类,如果data不是函数,在一个实例中修改data后,其他实例也会跟着改变;

10、ajax请求应该放在那个生命周期?

image.png

11、如何将组件所有 props 传递给子组件?

image.png

12、如何自己实现 v-model ?

image.png

13、多个组件有相同的逻辑,如何抽离?

image.png

14、何时使用异步组件?

image.png

15、 何时需要使用 keep-alive?

image.png

16、何时需要使用 beforeDestory ?

image.png

17、什么是作用域插槽?

image.png

18、Vuex 中 axtion 和 mutation 的区别?

image.png

19、vue-router 常用的路由模式?

image.png

20、如何配置 vue-router 异步加载?

image.png

21、请用 vnode 描述一个 DOM 结构?

image.png

22、监听data 变化的核心 API ?

image.png

23、Vue 如何监听数组变化?

image.png

24、请描述响应式原理?

image.png

25、 diff 算法的事件复杂度 ?

image.png

26、简述 diff 算法的过程?

image.png

27、Vue 为何是异步渲染,$nextTick有什么用?

image.png

28、 Vue 常见的性能优化?

image.png image.png

image.png

image.png

29、v-for 为什么不要和 v-if 一起使用?

因为 v-if 的优先级比 v-for 高,每次遍历都执行一次 v-if 判断,对性能是一个很大的浪费。