拓端tecdat|python贝叶斯随机过程:马尔可夫链Markov-Chain,MC和Metropolis-Hastings,MH采样算法可视化

171 阅读3分钟

原文链接:http://tecdat.cn/?p=25428

原文出处:拓端数据部落公众号

介绍

本文,我们说明了贝叶斯学习和 计算统计一些结果。


from math import pi
from pylab import *

马尔可夫链的不变测度

考虑一个高斯 AR(1) 过程, , 其中  是标准高斯随机变量的独立同分布序列,独立于 。假使 .。然后,具有均值的高斯分布  和方差  是马尔可夫链的平稳分布。我们用马尔可夫链的单个轨迹所取值的直方图来检查这个属性。


f=lambda x,m,sq: np.exp(-(x-m)**2/(2*sq))/np.sqrt(2*pi*sq)


plt.hist

第二个例子

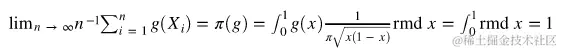
我们在这里考虑一个马尔可夫链的例子,它的状态空间  是开单位区间。如果链条在 ,它​等概率  ​选择两个区间之一  或者  ,然后移动到一个点,  它均匀分布在选定的区间内。马尔可夫链的不变分布有 cdf, 。 通过微分,我们可以得到相关的密度:  。对所有 , 我们现在用马尔可夫链取值的直方图检查这个属性。


x=arange(1,m)/m

for i in range(p-1):
    [a,b]=rand(2)
    
plt.hist

我们还可以说明直方图如何收敛到平稳分布的密度。这可以通过使用 matplotlib 中的“动画”模块的动态动画来完成。下面是python代码。



anm = animation.FuncAnimation

以这个例子结束,这是一个动画。



data = []
for i in range(p-1):
    [a,b]=npr.rand(2
    
    if ((i+1)%100==0):
        data.append
    
anim = animation.Func

我们现在用一个例子来说明大数定律。如 。 那么,我们期望 ,


x=np.arange/(p)
for i in range(p-1):
    [a,b]=npr.rand
m=np.cumsum(g(m))/np.arange(1,p+1)
plot

对称随机游走 Metropolis Hasting 算法

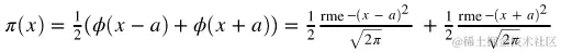
我们现在考虑一个目标分布,它是两个高斯分布的混合,一个集中在  ,另一个集中在 

  是中心标准正态分布的密度。

为了针对此分布,我们根据对称随机游走 Metropolis Hasting 算法进行采样。当链条处于状态时 ,我们提出一个候选 , 根据  ,其中  。然后我们接受  ,有概率 , 其中 . 否则, .

from IPython.display import HTML


rc('animation', html='jshtml')
ani

独立Metropolis Hasting 算法

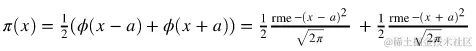
我们再次考虑一个目标分布,它是两个高斯分布的混合,一个集中在  ,另一个集中在 ,其中  是中心标准正态分布的密度。

为了针对这种分布,我们根据具有独立提议的 Metropolis Hasting 算法进行采样。当链条处于状态时 ,我们提出一个候选  ,根据  ,其中  。然后我们接受  有概率 , 其中  和  是密度 .。否则, .。


mc=npr.randn*np.one
data=[]
for i in range:
    v=sig*npr+sft
    alpha
    if (npr.rand()<alpha): 
        mc[i+1] = v        
    if ((i+1)%r==0):
        data.append

x=np.linspac


    
anim = animation.FuncAn

最受欢迎的见解

1.matlab使用贝叶斯优化的深度学习

2.matlab贝叶斯隐马尔可夫hmm模型实现

3.R语言Gibbs抽样的贝叶斯简单线性回归仿真

4.R语言中的block Gibbs吉布斯采样贝叶斯多元线性回归

5.R语言中的Stan概率编程MCMC采样的贝叶斯模型

6.Python用PyMC3实现贝叶斯线性回归模型

7.R语言使用贝叶斯 层次模型进行空间数据分析

8.R语言随机搜索变量选择SSVS估计贝叶斯向量自回归(BVAR)模型

9.matlab贝叶斯隐马尔可夫hmm模型实现