Non-local Network:人类早期在CV驯服Transformer尝试 | CVPR 2018

509 阅读3分钟

Non-local操作是早期self-attention在视觉任务上的尝试,核心在于依照相似度加权其它特征对当前特征进行增强,实现方式十分简洁,为后续的很多相关研究提供了参考
来源:晓飞的算法工程笔记 公众号

论文: Non-local Neural Networks

Introduction


  卷积操作通常在局部区域进行特征提取,想要获取范围更广的特征信息需要重复进行卷积操作来获得,这样不仅耗时还增加了训练难度。为此,论文提出高效的non-local操作,将特征图上的特征点表示为所有特征点的加权和,用于捕捉覆盖范围更广的特征信息。non-local操作也可以用于含时序的任务中,如图1的视频分类任务,可综合几帧的特征来增强当前帧的特征。
non-local操作主要有以下优点:

  • 相对于叠加卷积的操作,non-local可通过特征点间的交互直接捕捉更广的特征信息。
  • 从实验结果来看,简单地嵌入几层non-local操作就能高效地提升网络性能。
  • non-local操作支持可变输入,可很好地与其它网络算子配合。

Non-local Neural Networks


Formulation

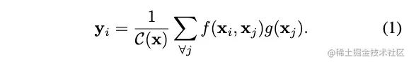
  首先定义通用的non-local操作:

ii为特征图上将要计算特征值的位置坐标,jj为特征图上的所有位置坐标,xx为对应位置上的输入特征,yy为增强后的输出,ff计算iijj之间的相似性,gg则用于对jj的特征进行转化,C\mathcal{C}用于对输出进行归一化。
简而言之,non-local的核心就是计算当前位置的特征与特征图所有特征间的相似性,然后根据相似性对所有特征加权输出。相对于卷积和全连接等参数固定的操作,non-local更加灵活。

Instantiations

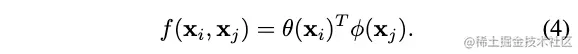
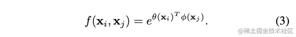
  在实现时,函数ff和函数gg的选择很多。为了简便,函数gg选择为线性变换g(xj)=Wgxjg(x_j)=W_gx_jWgW_g为可学习的权重矩阵,一般为1×11\times 1的卷积。而函数ff则可以有以下选择(论文通过实验发现函数ff的具体实现影响不大):

  • Gaussian

xiTxjx^T_i x_j为点积相似度,也可采用欧氏距离,C(x)=jf(xi,xj)\mathcal{C}(x)={\sum}_{\forall j}f(x_i, x_j),归一化类似于softmax操作。

  • Embedded Gaussian

θ(xi)=Wθxi\theta(x_i)=W_{\theta}x_iϕ(xj)=Wϕxj\phi(x_j)=W_{\phi}x_j为两个线性变换,C(x)=jf(xi,xj)\mathcal{C}(x)={\sum}_{\forall j}f(x_i, x_j),这个实现与self-attention十分接近。

  • Dot product

  先线性变换,然后通过点积计算相似度,C(x)=N\mathcal{C}(x)=N,有助于简化梯度计算。

  • Concatenation

  直接将特征conate起来,通过权重向量wfTw^T_f转化为标量输出,C(x)=N\mathcal{C}(x)=N

Non-local Block

  将公式1的non-local操作修改成non-local block,可插入到当前的网络架构中,non-local block的定义为:

  公式6将non-local操作的输出线性变换后与原特征进行相加,类似于residual block的嵌入方式。

  non-local block的一种实现方式如图2所示,首先对xx进行3种不同的线性变换,然后按照公式1得到输出特征,再与原特征进行相加,基本上跟self-attention是一样的。

Experiment


  各种对比实验,表2a为函数ff的实现对比,可以看到影响不是很大。

  视频分类对比。

  COCO上的分割、检测、关键点对比。

Conclusion


  Non-local操作是早期self-attention在视觉任务上的尝试,核心在于依照相似度加权其它特征对当前特征进行增强,实现方式十分简洁,为后续的很多相关研究提供了参考。



如果本文对你有帮助,麻烦点个赞或在看呗~
更多内容请关注 微信公众号【晓飞的算法工程笔记】

work-life balance.