[路飞]leetcode-199.二叉树的右视图

101 阅读1分钟

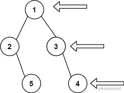
给定一个二叉树的 根节点 root,想象自己站在它的右侧,按照从顶部到底部的顺序,返回从右侧所能看到的节点值。力扣原文

 

示例 1:

输入: [1,2,3,null,5,null,4]
输出: [1,3,4]

示例 2:

输入: [1,null,3]
输出: [1,3]

示例 3:

输入: []
输出: []

解题:

var rightSideView = function(root) {
    if(!root)return [];
    let result=[]
    let queue=[[root,0]]
    while(queue.length){
        let [{val,left,right},dep]=queue.shift()
        result[dep]=val
        dep+=1
        if(left){
            queue.push([left,dep])
        }
        if(right){
            queue.push([right,dep])
        }
    }
    return result
};