「LeetCode」203-移除链表元素⚡️

96 阅读2分钟

「这是我参与2022首次更文挑战的第34天,活动详情查看:2022首次更文挑战

大家好,我是速冻鱼🐟,一条水系前端💦,喜欢花里胡哨💐,持续沙雕🌲
欢迎小伙伴们加我微信sudongyuer拉你进群
关注我的公众号:前端速冻鱼一起进步,期待与大家共同成长🥂

前言🌧️

算法,对前端人来说陌生又熟悉,很多时候我们都不会像后端工程师一样重视这项能力。但事实上,算法对每一个程序员来说,都有着不可撼动的地位。

因为开发的过程就是把实际问题转换成计算机可识别的指令,也就是《数据结构》里说的,「设计出数据结构,在施加以算法就行了」。

当然,学习也是有侧重点的,作为前端我们不需要像后端开发一样对算法全盘掌握,有些比较偏、不实用的类型和解法,只要稍做了解即可。

题目🦀

203. 移除链表元素

难度简单

给你一个链表的头节点 head 和一个整数 val ,请你删除链表中所有满足 Node.val == val 的节点,并返回 新的头节点

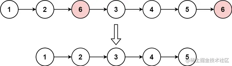
示例 1:

img

输入:head = [1,2,6,3,4,5,6], val = 6
输出:[1,2,3,4,5]

示例 2:

输入:head = [], val = 1
输出:[]

示例 3:

输入:head = [7,7,7,7], val = 7
输出:[]

提示:

  • 列表中的节点数目在范围 [0, 104]
  • 1 <= Node.val <= 50
  • 0 <= val <= 50

解题思路🌵

  • 可以设置一个哨兵
  • 哨兵的作用在于我们可以很方便的处理头节点

解法🔥

/**
 * Definition for singly-linked list.
 * function ListNode(val, next) {
 *     this.val = (val===undefined ? 0 : val)
 *     this.next = (next===undefined ? null : next)
 * }
 */
/**
 * @param {ListNode} head
 * @param {number} val
 * @return {ListNode}
 */
var removeElements = function(head, val) {
    if(!head){
        return head
    }
    let soldier = {
        next:head
    }
    let p = soldier
 //设置哨兵的意义在于好判断头节点
    while(p.next){
     if(p.next.val===val){
         p.next=p.next.next
     }else{
         p=p.next
     }
    }
    return soldier.next
};

时间复杂度:O(n)

空间复杂度:O(1)

结束语🌞

那么鱼鱼的LeetCode算法篇的「LeetCode」203-移除链表元素⚡️就结束了,算法这个东西没有捷径,只能多写多练,多总结,文章的目的其实很简单,就是督促自己去完成算法练习并总结和输出,菜不菜不重要,但是热爱🔥,喜欢大家能够喜欢我的短文,也希望通过文章认识更多志同道合的朋友,如果你也喜欢折腾,欢迎加我好友,一起沙雕,一起进步

github🤖:sudongyu

个人博客👨‍💻:速冻鱼blog

vx👦:sudongyuer

写在最后

伙伴们,如果喜欢我的口水话给🐟🐟点一个赞👍或者关注➕都是对我最大的支持。

加我微信:sudongyuer,邀你进群,一起学习前端,成为更优秀的工程师~(群二维码在这里->前端要午睡, 二维码过期了的话看链接沸点中的评论,我会把最新的二维码放在评论区,当然也可以加我微信我拉你进群,毕竟我也是有趣的前端,认识我也不赖🌟~