LeetCode 141. 环形链表 【C++/Java详细题解】

526 阅读1分钟

「这是我参与2022首次更文挑战的第32天,活动详情查看:2022首次更文挑战

1、题目

给定一个链表,判断链表中是否有环。

如果链表中有某个节点,可以通过连续跟踪next 指针再次到达,则链表中存在环。 为了表示给定链表中的环,我们使用整数 pos 来表示链表尾连接到链表中的位置(索引从 0 开始)。 如果 pos 是 -1,则在该链表中没有环。注意:pos 不作为参数进行传递,仅仅是为了标识链表的实际情况。

如果链表中存在环,则返回 true 。 否则,返回 false

进阶:

你能用 O(1)O(1)(即,常量)内存解决此问题吗?

示例 1:

输入:head = [3,2,0,-4], pos = 1
输出:true
解释:链表中有一个环,其尾部连接到第二个节点。

示例 2:

输入:head = [1,2], pos = 0
输出:true
解释:链表中有一个环,其尾部连接到第一个节点。

示例 3:

输入:head = [1], pos = -1
输出:false
解释:链表中没有环。

提示:

  • 链表中节点的数目范围是 [0, 104]
  • -105 <= Node.val <= 105
  • pos-1 或者链表中的一个 有效索引

2、思路

(链表,指针扫描) O(n)

用两个指针从头开始扫描,第一个指针每次走一步,第二个指针每次走两步。如果走到 null,说明不存在环;否则如果两个指针相遇,则说明存在环。

为什么呢?

假设链表存在环,则当第一个指针走到环入口时,第二个指针已经走到环上的某个位置,距离环入口还差 x 步。由于第二个指针每次比第一个指针多走一步,所以第一个指针再走 x步,两个指针就相遇了。

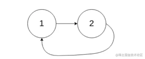
如下图所示:

image-20220108110020847.png

第二个指针还差2步就可以到达环入口,但是第二个指针每次比第一个指针多走1步,因此第一个指针再走2步,两个指针就会相遇。

时间复杂度分析:

第一个指针在环上走不到一圈,所以第一个指针走的总步数小于链表总长度。而第二个指针走的路程是第一个指针的两倍,所以总时间复杂度是O(n)。

3、c++代码

/**
 * Definition for singly-linked list.
 * struct ListNode {
 *     int val;
 *     ListNode *next;
 *     ListNode(int x) : val(x), next(NULL) {}
 * };
 */
class Solution {
public:
    bool hasCycle(ListNode *head) {
        if(!head || !head->next) return false;
        auto first = head, second = head;
        while(second){
            first = first->next, second = second->next;
            if(!second) return false;
            second = second->next;
            if(second == first) return true;
        }
        return false;
    }
};

4、Java代码

/**
 * Definition for singly-linked list.
 * class ListNode {
 *     int val;
 *     ListNode next;
 *     ListNode(int x) {
 *         val = x;
 *         next = null;
 *     }
 * }
 */
public class Solution {
    public boolean hasCycle(ListNode head) {
        if(head == null || head.next == null) return false;
        ListNode fast = head.next;
        ListNode slow = head;

        while(fast != null)
        {   
            if(fast == slow) return true;
            fast = fast.next;
            if(fast != null) fast = fast.next;
            slow = slow.next;
        }

        return false;

    }
}
···