☆打卡算法☆LeetCode 105、从前序与中序遍历序列构造二叉树 算法解析

211 阅读3分钟

这是我参与2022首次更文挑战的第28天,活动详情查看:2022首次更文挑战

推荐阅读

大家好,我是小魔龙,Unity3D软件工程师,VR、AR,虚拟仿真方向,不定时更新软件开发技巧,生活感悟,觉得有用记得一键三连哦。

一、题目

1、算法题目

“给定两个整数数组pre和ino,其中pre是二叉树的先序遍历,ino是二叉树的中序遍历,构造二叉树返回其根节点。”

题目链接:

来源:力扣(LeetCode)

链接:105. 从前序与中序遍历序列构造二叉树 - 力扣(LeetCode) (leetcode-cn.com)

2、题目描述

给定两个整数数组 preorder 和 inorder ,其中 preorder 是二叉树的先序遍历, inorder 是同一棵树的中序遍历,请构造二叉树并返回其根节点。

image.png

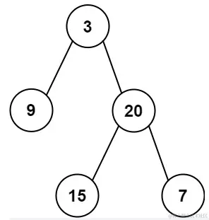
示例 1:
输入: preorder = [3,9,20,15,7], inorder = [9,3,15,20,7]
输出: [3,9,20,null,null,15,7]
示例 2:
输入: preorder = [-1], inorder = [-1]
输出: [-1]

二、解题

1、思路分析

真是不停的被二叉树折磨,这道题是由两个整数数组,一个先序遍历一个中序遍历,构造出二叉树返回根节点。

首先来了解一下什么是先序遍历,什么是中序遍历。

先序遍历:

  • 先遍历根节点
  • 随后递归地遍历左子树
  • 最后递归地遍历右子树

中序遍历:

  • 先递归地遍历左子树
  • 随后遍历根节点
  • 最后递归地遍历右子树

根据先序遍历和中序遍历的性质,我们就可以得到本题的解题。

  • 在中序遍历中定位到根节点,就可以知道左子树和右子树的节点数。
  • 前序遍历跟中序遍历的长度是相同的,可以将中序遍历的结果对应到前序遍历的结果中
  • 根据前序遍历和中序遍历的结果,以及右子树的前序遍历和中序遍历结果,我们就可以递归地构造出左子树和右子树
  • 将这两颗字数连接到根节点的左右位置

2、代码实现

代码参考:

class Solution {
    private Map<Integer, Integer> indexMap;

    public TreeNode myBuildTree(int[] preorder, int[] inorder, int preorder_left, int preorder_right, int inorder_left, int inorder_right) {
        if (preorder_left > preorder_right) {
            return null;
        }

        // 前序遍历中的第一个节点就是根节点
        int preorder_root = preorder_left;
        // 在中序遍历中定位根节点
        int inorder_root = indexMap.get(preorder[preorder_root]);
        
        // 先把根节点建立出来
        TreeNode root = new TreeNode(preorder[preorder_root]);
        // 得到左子树中的节点数目
        int size_left_subtree = inorder_root - inorder_left;
        // 递归地构造左子树,并连接到根节点
        // 先序遍历中「从 左边界+1 开始的 size_left_subtree」个元素就对应了中序遍历中「从 左边界 开始到 根节点定位-1」的元素
        root.left = myBuildTree(preorder, inorder, preorder_left + 1, preorder_left + size_left_subtree, inorder_left, inorder_root - 1);
        // 递归地构造右子树,并连接到根节点
        // 先序遍历中「从 左边界+1+左子树节点数目 开始到 右边界」的元素就对应了中序遍历中「从 根节点定位+1 到 右边界」的元素
        root.right = myBuildTree(preorder, inorder, preorder_left + size_left_subtree + 1, preorder_right, inorder_root + 1, inorder_right);
        return root;
    }

    public TreeNode buildTree(int[] preorder, int[] inorder) {
        int n = preorder.length;
        // 构造哈希映射,帮助我们快速定位根节点
        indexMap = new HashMap<Integer, Integer>();
        for (int i = 0; i < n; i++) {
            indexMap.put(inorder[i], i);
        }
        return myBuildTree(preorder, inorder, 0, n - 1, 0, n - 1);
    }
}

image.png

3、时间复杂度

时间复杂度 : O(n)

其中n是树中的节点个数。

空间复杂度: O(n)

其中n是树中的节点个数。

三、总结

在中序遍历中对根节点进行定位时,比较容易的方法是扫描中序遍历的结果找出根节点,但是这样做时间复杂度较高。

所以,就使用了哈希表来帮助我们快速的定位到根节点。

对于哈希映射中每个键值对,值表示其在中序遍历中出现的位置,键表示其元素的值。