[路飞]_冗余连接

120 阅读3分钟

「这是我参与2022首次更文挑战的第32天,活动详情查看:2022首次更文挑战

leetcode-684 冗余连接

题目介绍

树可以看成是一个连通且 无环 的 无向 图。

给定往一棵 n 个节点 (节点值 1~n) 的树中添加一条边后的图。添加的边的两个顶点包含在 1n 中间,且这条附加的边不属于树中已存在的边。图的信息记录于长度为 n 的二维数组 edges ,edges[i] = [ai, bi] 表示图中在 aibi 之间存在一条边。

请找出一条可以删去的边,删除后可使得剩余部分是一个有着 n 个节点的树。如果有多个答案,则返回数组 edges 中最后出现的边。

示例1

image.png

输入: edges = [[1,2], [1,3], [2,3]]
输出: [2,3]

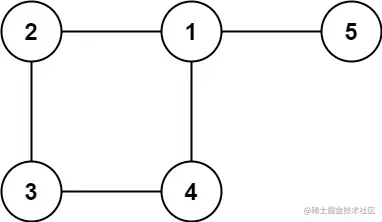
示例2

image.png

输入: edges = [[1,2], [2,3], [3,4], [1,4], [1,5]]
输出: [1,4]

提示:

  • n == edges.length
  • 3 <= n <= 1000
  • edges[i].length == 2
  • 1 <= ai < bi <= edges.length
  • ai != bi
  • edges 中无重复元素
  • 给定的图是连通的 

解题思路

在一棵有 n 个节点的树中,它的边数应该是 n - 1 (推理过程可以想象一下除了根节点每个节点都有一条指向自己的边,只有根节点没有,所以边数比节点数少 1)。如果在树中增加一条边的话,节点数和边数一致,就会形成环

在一棵完整的树中,所有的节点都是连接在一起的,可以看成一个集合,如果形成环的话,就说明有一条边连接了本来就已经在集合中的两个节点,我们只需要找出这条边即可

解题步骤

这道题可以利用并查集来解决:

  1. 首先定义一个并查集,并查集的大小为节点数,即题目所给的 edges 数组的长度
  2. 遍历 edges 数组中的每条边,判断每条边两端的两个节点是否出现在同一个集合中
    • 如果这两个节点不在同一个集合中,那么我们将这两个点进行连接
    • 如果这两个节点已经在同一个集合中了,说明当前的这条边就是冗余的边,直接返回这条边即可 注意:因为题目只添加了一条边,所以一旦我们找到了这条边,这条边就是数组 edges 中最后出现的边,因此我们才可以直接返回

解题代码

var findRedundantConnection = function(edges) {
    const unionSet = new UnionSet(edges.length)
    for (let i = 0; i < edges.length; i++) {
        if (unionSet.get(edges[i][0]) !== unionSet.get(edges[i][1])) {
            // 如果两个节点不在同一个集合中,连通两个节点
            unionSet.merge(edges[i][0], edges[i][1])
        } else {
            // 否则返回多余的这条边
            return edges[i]
        }
    }
};

// 并查集
class UnionSet {
    constructor(n) {
        this.fa = []
        this.size = []
        for(let i = 0; i <= n; i++) {
            this.fa[i] = i
            this.size[i] = 1
        }
    }

    get(v) {
        if (this.fa[v] === v) return v
        const root = this.get(this.fa[v])
        this.fa[v] = root
        return root
    }

    merge(a, b) {
        const ra = this.get(a), rb = this.get(b)
        if (ra === rb) return 
        if (this.size[ra] < this.size[rb]) {
            this.fa[ra] = rb
            this.size[rb] += this.size[ra]
        } else {
            this.fa[rb] = ra
            this.size[ra] += this.size[rb]
        }
    }
}