Java实现LeetCode 题号:841 - 850

160 阅读5分钟

「这是我参与2022首次更文挑战的第30天,活动详情查看:2022首次更文挑战」。

LeetCode习题集 有些题可能直接略过了,整理一下之前刷leetcode

841. 钥匙和房间

有 n 个房间,房间按从 0 到 n - 1 编号。最初,除 0 号房间外的其余所有房间都被锁住。你的目标是进入所有的房间。然而,你不能在没有获得钥匙的时候进入锁住的房间。

当你进入一个房间,你可能会在里面找到一套不同的钥匙,每把钥匙上都有对应的房间号,即表示钥匙可以打开的房间。你可以拿上所有钥匙去解锁其他房间。

给你一个数组 rooms 其中 rooms[i] 是你进入 i 号房间可以获得的钥匙集合。如果能进入 所有 房间返回 true,否则返回 false

 

示例 1:

输入: rooms = [[1],[2],[3],[]]
输出: true
解释:
我们从 0 号房间开始,拿到钥匙 1。
之后我们去 1 号房间,拿到钥匙 2。
然后我们去 2 号房间,拿到钥匙 3。
最后我们去了 3 号房间。
由于我们能够进入每个房间,我们返回 true

示例 2:

输入: rooms = [[1,3],[3,0,1],[2],[0]]
输出: false
解释: 我们不能进入 2 号房间。

 

提示:

  • n == rooms.length
  • 2 <= n <= 1000
  • 0 <= rooms[i].length <= 1000
  • 1 <= sum(rooms[i].length) <= 3000
  • 0 <= rooms[i][j] < n
  • 所有 rooms[i] 的值 互不相同
PS:
    从第一个房间开始进行递归搜索
    每当进入一个房间的时候,遍历这个集合的钥匙,每次打开一个门以后就计数+1,
    当统计的数量等于房间数量的时候,证明所有的房间都被打开了
class Solution {
    boolean[] vis;
    int num;

    public boolean canVisitAllRooms(List<List<Integer>> rooms) {
        int n = rooms.size();
        num = 0;
        vis = new boolean[n];
        dfs(rooms, 0);
        return num == n;
    }

    public void dfs(List<List<Integer>> rooms, int x) {
        vis[x] = true;
        num++;
        for (int it : rooms.get(x)) {
            if (!vis[it]) {
                dfs(rooms, it);
            }
        }
    }

}

842. 将数组拆分成斐波那契序列

给定一个数字字符串 num,比如 "123456579",我们可以将它分成「斐波那契式」的序列 [123, 456, 579]

形式上,斐波那契式 序列是一个非负整数列表 f,且满足:

  • 0 <= f[i] < 231 ,(也就是说,每个整数都符合 32 位 有符号整数类型)
  • f.length >= 3
  • 对于所有的0 <= i < f.length - 2,都有 f[i] + f[i + 1] = f[i + 2]

另外,请注意,将字符串拆分成小块时,每个块的数字一定不要以零开头,除非这个块是数字 0 本身。

返回从 num 拆分出来的任意一组斐波那契式的序列块,如果不能拆分则返回 []

 

示例 1:

输入: num = "1101111"
输出: [11,0,11,11]
解释: 输出[110,1,111]也可以。

示例 2:

输入: num = "112358130"
输出: []
解释: 无法拆分。

示例 3:

输入: "0123"
输出: []
解释: 每个块的数字不能以零开头,因此 "01""2""3" 不是有效答案。

 

提示:

  • 1 <= num.length <= 200
  • num 中只含有数字
class Solution {
    public List<Integer> splitIntoFibonacci(String num) {
        List<Integer> path = new ArrayList<>();
        char[] nums = num.toCharArray();
        if( nums.length < 3 ) return path;
        backtrack(0, nums, path);
        return path;
    }
    //pos:第三个数的首位置
    public boolean backtrack(int pos, char[] nums, List<Integer> path) {
        //细节: 有可能只是组成两个, 要判断起码三个
        if( pos == nums.length ) return path.size() > 2;  
       
        long curNum = 0;
        //从[pos, i]找第三个数字
        for(int i = pos; i < nums.length; ++i ) {
            if( nums[pos] == '0' && i > pos) break;  //0开头只能是一位 剪枝
            curNum = curNum * 10 + (nums[i] - '0');
            if( curNum > Integer.MAX_VALUE ) break;  //第三个数字不能选了, 不能继续递归, 要返回了  剪枝
            if( path.size() >= 2 ) {
                int preTwoSum = path.get( path.size() - 2 );
                preTwoSum += path.get( path.size() - 1);
                if( curNum > preTwoSum ) break;//第三个数字不能选了, 不能继续递归, 要返回了  剪枝
                else if( curNum < preTwoSum ) continue;  //第三个数字还有可能选到
            } 
            //到了这里, 如果是第三个数字, 那么第三个数字就选到了
            path.add( (int)curNum );
            if( backtrack( i + 1, nums, path) ) return true;
            path.remove( path.size() - 1);
        }
        //以pos开头的没有符合要求的第三个数字
        return false;
    }
}

843. 猜猜这个单词

这是一个 交互式问题

我们给出了一个由一些 不同的 单词组成的列表 wordlist ,对于每个 wordlist[i] 长度均为 6 ,这个列表中的一个单词将被选作 secret 。

你可以调用 Master.guess(word) 来猜单词。你所猜的单词应当是存在于原列表并且由 6 个小写字母组成的类型 string 。

此函数将会返回一个 integer ,表示你的猜测与秘密单词 secret 的准确匹配(值和位置同时匹配)的数目。此外,如果你的猜测不在给定的单词列表中,它将返回 -1

对于每个测试用例,你有 10 次机会来猜出这个单词。当所有调用都结束时,如果您对 Master.guess 的调用在 10 次以内,并且至少有一次猜到 secret ,将判定为通过该用例。

 

示例 1:

输入: secret = "acckzz", wordlist = ["acckzz","ccbazz","eiowzz","abcczz"]
输出: You guessed the secret word correctly.
解释:
master.guess("aaaaaa") 返回 -1, 因为 "aaaaaa" 不在 wordlist 中.
master.guess("acckzz") 返回 6, 因为 "acckzz" 就是秘密,6个字母完全匹配。
master.guess("ccbazz") 返回 3, 因为 "ccbazz" 有 3 个匹配项。
master.guess("eiowzz") 返回 2, 因为 "eiowzz" 有 2 个匹配项。
master.guess("abcczz") 返回 4, 因为 "abcczz"4 个匹配项。
我们调用了 5 次master.guess,其中一次猜到了秘密,所以我们通过了这个测试用例。

示例 2:

输入: secret = "hamada", wordlist = ["hamada","khaled"], numguesses = 10
输出: You guessed the secret word correctly.

 

提示:

  • 1 <= wordlist.length <= 100
  • wordlist[i].length == 6
  • wordlist[i] 只包含小写英文字母
  • wordlist 中所有字符串都 不同
  • secret 在 wordlist 中
  • numguesses == 10

class Solution {
    public void findSecretWord(String[] wordlist, Master master) {
        if (wordlist == null || wordlist.length == 0) return;
        
        List<String> list = new ArrayList<>(Arrays.asList(wordlist));
        for (int i = 0; i < 10; i++) {
            // 随机猜一个
            Random r = new Random();
            int idx = r.nextInt(list.size());
            String randomPick = list.get(idx);
            //获取当前字符串的准确匹配值
            int match = master.guess(randomPick);
            
            // 获取匹配度相同的单词列表
            List<String> candidates = new ArrayList<>();
            for (String s : list) {
                if (getMatch(s, randomPick) == match)
                    candidates.add(s);
            }
            
            // 每次只猜匹配度相同的那些单词
            list = candidates;
        }
    }
        //如果值和下标都匹配,就计数,如果一个其实一个字符串结束了,就直接返回0
    private int getMatch(String s, String pick) {
        if (s == null || s.length() == 0 || pick == null || pick.length() == 0) return 0;
        int match = 0;
        for (int i = 0; i < Math.min(s.length(), pick.length()); i++) {
            if (s.charAt(i) == pick.charAt(i))
                match++;
        }
        return match;
    }
}
 

844. 比较含退格的字符串

给定 s 和 t 两个字符串,当它们分别被输入到空白的文本编辑器后,如果两者相等,返回 true 。# 代表退格字符。

注意: 如果对空文本输入退格字符,文本继续为空。

 

示例 1:

输入: s = "ab#c", t = "ad#c"
输出: true
解释: s 和 t 都会变成 "ac"

示例 2:

输入: s = "ab##", t = "c#d#"
输出: true
解释: s 和 t 都会变成 ""

示例 3:

输入: s = "a#c", t = "b"
输出: false
解释: s 会变成 "c",但 t 仍然是 "b"

 

提示:

  • 1 <= s.length, t.length <= 200
  • s 和 t 只含有小写字母以及字符 '#'

 

进阶:

  • 你可以用 O(n) 的时间复杂度和 O(1) 的空间复杂度解决该问题吗?
PS:
    因为这里有退格符的参与,我们直接倒着遍历
    如果遇到退格符就向前遍历
    如果两个对应位置的值不相等就直接返回false
class Solution {
    public boolean backspaceCompare(String s, String t) {
        int i=s.length()-1;
        int j=t.length()-1;
        int skips=0,skipt=0;
        while(i>=0||j>=0){
            while(i>=0){
                if(s.charAt(i)=='#'){
                    skips++;
                    i--;
                }else{
                    if(skips>0){
                        skips--;
                        i--;
                    }else break;
                }
            }

            while(j>=0){
                if(t.charAt(j)=='#'){
                    skipt++;
                    j--;
                }else{
                    if(skipt>0){
                        skipt--;
                        j--;
                    }else break;
                }
            }
            if(i>=0&&j>=0){
                if(s.charAt(i)!=t.charAt(j))return false;
            }else{
                if(i>=0||j>=0)return false;
            }
            i--;
            j--;
        }
        return true;
    }
}

845. 数组中的最长山脉

把符合下列属性的数组 arr 称为 山脉数组 :

  • arr.length >= 3

  • 存在下标 i0 < i < arr.length - 1),满足

    • arr[0] < arr[1] < ... < arr[i - 1] < arr[i]
    • arr[i] > arr[i + 1] > ... > arr[arr.length - 1]

给出一个整数数组 arr,返回最长山脉子数组的长度。如果不存在山脉子数组,返回 0 。

 

示例 1:

输入: arr = [2,1,4,7,3,2,5]
输出: 5
解释: 最长的山脉子数组是 [1,4,7,3,2],长度为 5。

示例 2:

输入: arr = [2,2,2]
输出: 0
解释: 不存在山脉子数组。

 

提示:

  • 1 <= arr.length <= 104
  • 0 <= arr[i] <= 104

 

进阶:

  • 你可以仅用一趟扫描解决此问题吗?
  • 你可以用 O(1) 空间解决此问题吗?
PS:
    题目的山脉其实就是中间高,两遍逐渐降低的字符数
    我们正序找最长的递增数组,然后在逆序找最长的递增数组
    然后循环每一个位置,看当前位置的向左向右的最长递增数组,直接记录长度
class Solution {
    public int longestMountain(int[] arr) {
        int n = arr.length;
        if (n == 0) {
            return 0;
        }
        int[] left = new int[n];
        for (int i = 1; i < n; ++i) {
            left[i] = arr[i - 1] < arr[i] ? left[i - 1] + 1 : 0;
        }
        int[] right = new int[n];
        for (int i = n - 2; i >= 0; --i) {
            right[i] = arr[i + 1] < arr[i] ? right[i + 1] + 1 : 0;
        }

        int ans = 0;
        for (int i = 0; i < n; ++i) {
            if (left[i] > 0 && right[i] > 0) {
                ans = Math.max(ans, left[i] + right[i] + 1);
            }
        }
        return ans;
    }
}


846. 一手顺子

Alice 手中有一把牌,她想要重新排列这些牌,分成若干组,使每一组的牌数都是 groupSize ,并且由 groupSize 张连续的牌组成。

给你一个整数数组 hand 其中 hand[i] 是写在第 i 张牌,和一个整数 groupSize 。如果她可能重新排列这些牌,返回 true ;否则,返回 false 。

 

示例 1:

输入: hand = [1,2,3,6,2,3,4,7,8], groupSize = 3
输出: true
解释: Alice 手中的牌可以被重新排列为 [1,2,3][2,3,4][6,7,8]

示例 2:

输入: hand = [1,2,3,4,5], groupSize = 4
输出: false
解释: Alice 手中的牌无法被重新排列成几个大小为 4 的组。

 

提示:

  • 1 <= hand.length <= 104
  • 0 <= hand[i] <= 109
  • 1 <= groupSize <= hand.length
PS:
    给数组排个序
    我们之间记录每个数字的数量
    然后遍历的时候,从最小的开始,然后遍历k个,看是否都存在,如果都存在就数量-1,如果有一个不存在直接返回false
class Solution {
    public boolean isNStraightHand(int[] num, int k) {
        int n = num.length;
        if (n % k != 0) {
            return false;
        }
        Arrays.sort(num);
        Map<Integer, Integer> map = new HashMap<Integer, Integer>();
        for (int i : num) {
            map.put(i, map.getOrDefault(i, 0) + 1);
        }
        for (int i : num) {
            if (!map.containsKey(i)) {
                continue;
            }
            for (int j = 0; j < k; j++) {
                int newnum = i + j;
                if (!map.containsKey(newnum)) {
                    return false;
                }
                map.put(newnum, map.get(newnum) - 1);
                if (map.get(newnum) == 0) {
                    map.remove(newnum);
                }
            }
        }
        return true;



    }
}

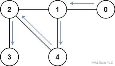
847. 访问所有节点的最短路径

存在一个由 n 个节点组成的无向连通图,图中的节点按从 0 到 n - 1 编号。

给你一个数组 graph 表示这个图。其中,graph[i] 是一个列表,由所有与节点 i 直接相连的节点组成。

返回能够访问所有节点的最短路径的长度。你可以在任一节点开始和停止,也可以多次重访节点,并且可以重用边。

 

示例 1:

输入: graph = [[1,2,3],[0],[0],[0]]
输出: 4
解释: 一种可能的路径为 [1,0,2,0,3]

示例 2:

输入: graph = [[1],[0,2,4],[1,3,4],[2],[1,2]]
输出: 4
解释: 一种可能的路径为 [0,1,4,2,3]

 

提示:

  • n == graph.length
  • 1 <= n <= 12
  • 0 <= graph[i].length < n
  • graph[i] 不包含 i
  • 如果 graph[a] 包含 b ,那么 graph[b] 也包含 a
  • 输入的图总是连通图
PS:
    BDF从每个点都开始进行遍历
    遍历的过程中记录路径长度
    如果找到一个能遍历所有的,就直接结束返回
    因为BFS找到的第一个就是最短的
class Solution {
    public int shortestPathLength(int[][] map) {
        int n = map.length;
        Queue<int[]> queue = new LinkedList<int[]>();
        boolean[][] bool = new boolean[n][1<<n];
        for (int i = 0; i < n; i++){
            queue.offer(new int[]{i,1<<i,0});
            bool[i][1<<i]=true;
        }
        int result = 0;
        while(!queue.isEmpty()){
            int[] temp = queue.poll();
            int start = temp[0];
            int relationship = temp[1];
            int count = temp[2];

            if(relationship==(1<<n)-1){
                result = count;
                break;
            }

            for(int v : map[start]){
                int NewRelationship = relationship | 1<<v;
                if(!bool[v][NewRelationship]){
                    queue.offer(new int[]{v,NewRelationship,count+1});
                    bool[v][NewRelationship]=true;
                }
            }  
        }
        return result;
    }
}

848. 字母移位

有一个由小写字母组成的字符串 s,和一个长度相同的整数数组 shifts

我们将字母表中的下一个字母称为原字母的 移位 shift() (由于字母表是环绕的, 'z' 将会变成 'a')。

  • 例如,shift('a') = 'b', ``shift('t') = 'u', 以及 shift('z') = 'a'

对于每个 shifts[i] = x , 我们会将 s 中的前 i + 1 个字母移位 x 次。

返回 将所有这些移位都应用到 s 后最终得到的字符串 。

 

示例 1:

输入: s = "abc", shifts = [3,5,9]
输出: "rpl"
解释:
我们以 "abc" 开始。
将 S 中的第 1 个字母移位 3 次后,我们得到 "dbc"。
再将 S 中的前 2 个字母移位 5 次后,我们得到 "igc"。
最后将 S 中的这 3 个字母移位 9 次后,我们得到答案 "rpl"

示例 2:

输入: s = "aaa", shifts = [1,2,3]
输出: "gfd"

 

提示:

  • 1 <= s.length <= 105
  • s 由小写英文字母组成
  • shifts.length == s.length
  • 0 <= shifts[i] <= 109
PS:
    直接暴力循环位数
    这里题目说明了循环移动,我们直接%2626个字母)然后在加上a字符转成char
class Solution {
   public String shiftingLetters(String s, int[] shifts) {
        char[] arr = s.toCharArray();
        int curr = 0;
        for (int i = shifts.length - 1; i >= 0; i--) {
            curr += shifts[i] % 26;
            arr[i] = (char) ((curr + arr[i] - 'a') % 26 + 'a');
        }
        return new String(arr);
    }
}

849. 到最近的人的最大距离

给你一个数组 seats 表示一排座位,其中 seats[i] = 1 代表有人坐在第 i 个座位上,seats[i] = 0 代表座位 i 上是空的(下标从 0 开始)。

至少有一个空座位,且至少有一人已经坐在座位上。

亚历克斯希望坐在一个能够使他与离他最近的人之间的距离达到最大化的座位上。

返回他到离他最近的人的最大距离。

 

示例 1:

输入: seats = [1,0,0,0,1,0,1]
输出: 2
解释: 如果亚历克斯坐在第二个空位(seats[2])上,他到离他最近的人的距离为 2 。
如果亚历克斯坐在其它任何一个空位上,他到离他最近的人的距离为 1 。
因此,他到离他最近的人的最大距离是 2 。 

示例 2:

输入: seats = [1,0,0,0]
输出: 3
解释:
如果亚历克斯坐在最后一个座位上,他离最近的人有 3 个座位远。
这是可能的最大距离,所以答案是 3 。

示例 3:

输入: seats = [0,1]
输出: 1

 

提示:

  • 2 <= seats.length <= 2 * 104
  • seats[i] 为 0 或 1
  • 至少有一个 空座位
  • 至少有一个 座位上有人
PS:
    这个题和上面的最长山脉是一样的意思
    就是找当前位置能距离左右的距离最近的最大值
    正序,逆序遍历数组,找到两个单方向的
    然后循环每个位置,看当前位置 两个方向的最短距离的最大值
class Solution {
    public int maxDistToClosest(int[] seats) {
        int N = seats.length;
        int[] left = new int[N], right = new int[N];
        Arrays.fill(left, N);
        Arrays.fill(right, N);

        for (int i = 0; i < N; ++i) {
            if (seats[i] == 1) left[i] = 0;
            else if (i > 0) left[i] = left[i-1] + 1;
        }

        for (int i = N-1; i >= 0; --i) {
            if (seats[i] == 1) right[i] = 0;
            else if (i < N-1) right[i] = right[i+1] + 1;
        }

        int ans = 0;
        for (int i = 0; i < N; ++i)
            if (seats[i] == 0)
                ans = Math.max(ans, Math.min(left[i], right[i]));
        return ans;
    }

}