[路飞]_js算法:二叉树的前序遍历

94 阅读1分钟

二叉树的前序遍历

问题描述: 给你二叉树的根节点 root ,返回它节点值的 前序 **遍历。(by leetcode 144)

示例 :

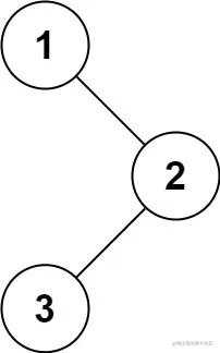
输入: root = [1,null,2,3]
输出: [1,2,3]

思路: 递归

/**
 * Definition for a binary tree node.
 * function TreeNode(val, left, right) {
 *     this.val = (val===undefined ? 0 : val)
 *     this.left = (left===undefined ? null : left)
 *     this.right = (right===undefined ? null : right)
 * }
 */
/**
 * @param {TreeNode} root
 * @return {number[]}
 */
 function pre(root,ans){
     if(root==null)return;
     ans.push(root.val);
     pre(root.left,ans);
     pre(root.right,ans);
     return;


 }
var preorderTraversal = function(root) {
    let ans=[];
    pre(root,ans);
    return ans
};