考研数据结构(每日一题)day01

206 阅读1分钟

考研数据结构(每日一题)

题目:在带头结点的单链表L中,删除所有值为x的结点,并释放其空间,假设值为x的结点不唯一,试编写算法以实现上述操作。

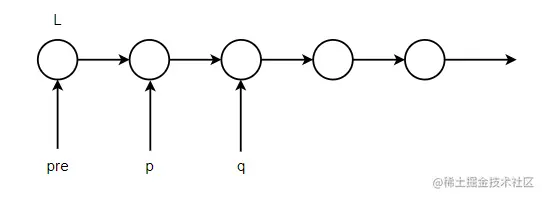
算法图解:

image.png

算法思想:

删除所有值为x的结点,并释放其空间,所以在这条链表中找到一个值为x的结点的时候,必须要找到它的前驱结点,需要三个指针:pre、p指针  (作用:遍历整条链表)  q指针  (作用:指向当前找到x的结点,用于标记)

完整代码:

void Del_x(LinkList &L,Elemtype x)   
//加&的原因:此题改变了链表的结构需要加。如果没有改变链表的结构,可以不用加
{
    //Elemtype:结点中的data域的值不确定,可以是int、double或者是float类型
    LNode *p = L->next;      //初识化指针,p指针指向头结点的下一个指针
    LNode *pre = L;          //pre指针寻找它的前驱,指向头结点
    LNode *q;                //初始化q,标记找到的结点
    //遍历链表
    while(p!=NULL)  //链表不能为空
    {   
        //删除操作
        if(p->data==x){
        q = p;
        p = p->next;
        pre->next = p;
        free(q);
        }
        //没有找到x,则继续往下找
        else{
            pre = p;
            p = p->next;
        }
    }
}