「这是我参与2022首次更文挑战的第28天,活动详情查看:2022首次更文挑战」。
@TOC

前言
Hello!小伙伴!
非常感谢您阅读海轰的文章,倘若文中有错误的地方,欢迎您指出~
自我介绍 ଘ(੭ˊᵕˋ)੭
昵称:海轰
标签:程序猿|C++选手|学生
简介:因C语言结识编程,随后转入计算机专业,有幸拿过一些国奖、省奖...已保研。目前正在学习C++/Linux/Python
学习经验:扎实基础 + 多做笔记 + 多敲代码 + 多思考 + 学好英语!
机器学习小白阶段
文章仅作为自己的学习笔记 用于知识体系建立以及复习
知其然 知其所以然!
1.2 基本概念
1.2.1 图
定义1.1 :图的定义
有序三元组G=(V,E,ψ)称为一个图,其中
- V={v1,v2,...,vn}是有穷非空集,称为顶点集,用∣V∣表示顶点数
- E={e1,e2,...,em}称为边集,有穷集合(可以为空集),其中的元素叫边,用∣E∣表示边数
- ψ是从边集E到顶点集V中的有序或无序的元素偶对的集合的映射,称为关联函数
举例:设图G=(V,E,ψ),其图解如下
则有:
- 图的定义:G=(V,E,ψ)
- 图的顶点集:V={v1,v2,v3,v4}
- 图的边集:E=(e1,e2,e3,e4,e5)
- 图的关联函数:
- ψ(e1)=v1v2
- ψ(e2)=v1v3
- ....
定义1.2
有向边/无向边
- 在图G=(V,E)中,与V中的有序对应的边e(ψ(e)=(v1,v2)),称为图G的有向边或弧
- 而与V中的顶点的无序偶vivj相对应的边e称为图G的无向边
有向图/无向图/混合图
- 每一条边都是无向边的图,称为无向图
- 每一条边都是有向边的图称为有向图
- 一些边是无向边,一些边是有向边的图称为混合图
补充
(1)若ψ(e)=uv,称e与顶点u,v相关联
(2)若ψ(e)=uv,称顶点u与v相邻
(3)与同一顶点相关联的两边称为相邻边
(4)两端点重合的边称为环
(5)端点完全相同的两边称为重边
(6)既无环又无重边的图,称为简单图
(7)任意两个顶点相邻的简单图,称为完备图(或完全图),记为Kn,其中n为顶点的数目
简单的说,完全图(或完备图)就是任意两个顶点直接都有一条边相连的简单图

(8)若V=X∪Y,X∩Y=∅,X中任意两个顶点不相邻,Y中任意两个顶点也不相邻,称G为二部图;若X中的每一顶点皆与Y中一切顶点相邻时,G称为完备二部图,记为Km,n,其中m,n分别为X、Y的顶点数目
二部图示例:
完备二部图示例:(注意是一个顶点与另一部分中所有顶点都需要相连)

(9)顶点集和边集都有限的图称为有限图
(10)只有一个顶点的图称为平凡图
(11)边集为空的图称为空图
(12)顶点数为n的图称为n阶图
(13)顶点数为n,边数为m的图称为 (n, m) 图
(14)连接两个相同顶点的边的条数称为边的重数
(15)重数大于1的边称为重边
(16)端点重合为一点的边称为环
定义1.3 :子图
设图 G=(V,E,ψ) 和 G1=(V1,E1,ψ1)
若V1⊆V,E1⊆E,且当e∈E1时,ψ1(e)=ψ(e)
则称为G1是G的子图
特别的,若V1=V,则称G1为G的生成子图

定义1.4:顶点导出子图
设V1⊆V,且V1=∅
以V1为顶点集,两个端点都在V1中的边为边集的G的子图
称为G的由顶点集V1导出的子图,记为G[V1]
定义1.5:边导出子图
设E1⊆V,且E1为边集
E1的端点集为顶点集的图G的子图
称为G的由E1边集导出的子图,记为G[E1]

1.2.2 顶点的次数(或度)
在无向图中,与顶点v关联的边的数目称为v的次数或度(环算两次),记为d(v)
分别用δ(G),Δ(G)表示无向图G的最小次数和最大次数,即
δ(G)=min{d(v)|v∈V(G)}Δ(G)=max{d(v)|v∈V(G)}
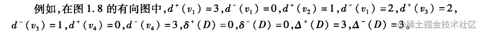
在有向图中,从v引出的边的数目称为v的出次,记为d+(v),从v引入的边的数目称为v的入次,记为d−(v)。d+(v)+d−(v)=d(v)称为v的次数
其中
- δ+(D):最小出次
- δ−(D):最小入次
- Δ+(D):最大出次
- Δ+(D):最大入次
同时,规定使用记号ν(G),ϵ(G)分别表示图的 顶点的数目 和 边的数目
- ν(G):顶点的数目
- ϵ(G):边的数目
设G=(V,E)为简单图,如果对所有ν∈V,有d(ν)=k,则称图G为k−正则图
简单理解:
若是2-正则图,则说明每个顶点的次数(度)都是2
若是3-正则图,则说明每个顶点的次数(度)都是3....
举例


定理1.1:握手定理
图G=(V,E)中所有顶点的次数(或度)的和等于边数的2倍,即
∑ν∈V(G)d(ν)=2ϵ(G)
推论1.1
任何图中,奇次顶点的总数必定为偶数

推论1.2
正则图的阶数和顶点数不同时为奇数
若阶数和顶点数都是奇数,那么总的次数就是:奇数乘奇数,结果是奇数,但是总次数一定是偶数(总次数:边数乘为2),所以阶数和顶点数不可以同时为奇数
1.2.3 同构
定义1.6:图的同构
设有两个无向图G和H,若顶点集之间存在一一对应关系,且对应顶点之间的边也有一一对应的关系,则称为图G和H同构,记作G≅H
对于有向图的同构,对应边的方向也要求相同
举例:
下面G1,G2,G3是同构的
D1,D2也是同构的

图的同构有如下必要条件:
- 两图的顶点数、边数相等
- 关联边数相同的顶点个数相等(次数相同的顶点个数相同)
不满足上面两个条件,两个图一定不同构;满足上面两个条件,则也不一定是同构的

1.2.4 图运算
删点运算
设V′⊆V(G),在G中删去V′中的顶点和G中与之关联的所有边的操作,称为删点运算,记为G−V′
特别地,如果只删去一个点v,则记为G−v
删点后得到的图是原图的子图
删边运算
设E′⊆E(G),在G中删去E′中的所有边的操作,称为删边运算,记为G−E′
特别地,如果只删去一条边e,则记为G−e
删边后得到的图是原图的子图
并运算
设G1,G2是G的两个子图,G1与G2并是指由V(G1)∪V(G2)为顶点集,以E(G1)∪E(G2)为边集组成的子图,记为G1∪G2
特别地,如果G1,G2不相交(没有公共顶点),称它们的并为直接并,记为G1+G2
交运算
设G1,G2是G的两个子图,G1与G2交是指由V(G1)∩V(G2)为顶点集,以E(G1)∩E(G2)为边集组成的子图,记为:G1∩G2
差运算
设G1,G2是两个图,G1与G2的差是指从G1中删去G2中的边得到的新图,记为G1−G2
对称差运算(或环和运算)
设G1,G2是两个图,G1与G2的对称差定义为:
G1ΔG2=(G1∪G2)−(G1∩G2)
结语
说明:
- 参考于 课本《图论》
- 配合书中概念讲解 结合了自己的一些理解及思考
文章仅作为学习笔记,记录从0到1的一个过程
希望对您有一点点帮助,如有错误欢迎小伙伴指正
