leetcode每天一题:【平衡二叉树】(简单)

138 阅读3分钟

这是我参与2022首次更文挑战的第31天,活动详情查看:2022首次更文挑战

题目描述

leetcode题目地址

提供一个二叉树,需要你判断它是不是高度平衡的二叉树。是则返回true,否则返回false

什么是高度平衡? 上一篇文章讲过,

就是任意节点的左右子树的层级之差的绝对值不超过 1。

如果根节点是空的(null),则返回true

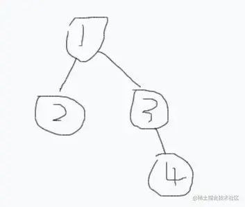
举个例子:(灵魂画手前来报到😀)

任意节点的左边树和右边树层级相差刚好为1,所以是平衡二叉树

image.png

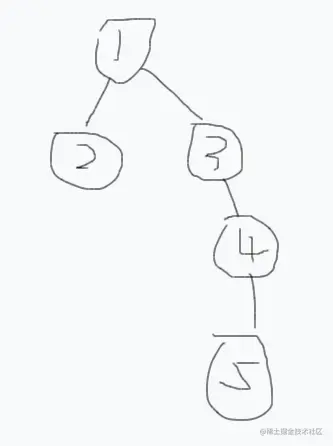
根节点的左边树和右边树层级相差大于1,所以不是平衡二叉树

image.png

节点2的左边树的层级为2, 右边树的层级为0,相差超过1, 所以不是平衡二叉树 image.png

思路分析

第一种方法(递归)

这个方法其实是在上一篇文章二叉树的最大深度方法上改造的。

如果没有根节点的时候,直接返回true

定义一个findLevel函数,寻找节点的左右边树的最大层级,从根节点开始遍历,使用try-catch包裹,

当一发现不是平衡二叉树时,直接throw error,这样可以中断后面的遍历。

遍历的过程中如果当前节点为null,则代表当前节点没有子节点,返回0

如果不为null,则递归去找当前节点的左右边树的层级,每次递归都加一,代表一层,最后取二者的最大值返回(使用Math.max方法),这个就是最大层级。

在返回之前,比较当前节点的左右边树的最大层级之差是否大于1,如果大于1,抛出error,中断遍历。

最终递归遍历结束后,如果没有中断,则代表时平衡二叉树,返回true即可。

/**
 * Definition for a binary tree node.
 * function TreeNode(val, left, right) {
 *     this.val = (val===undefined ? 0 : val)
 *     this.left = (left===undefined ? null : left)
 *     this.right = (right===undefined ? null : right)
 * }
 */
/**
 * @param {TreeNode} root
 * @return {boolean}
 */
var isBalanced = function (root) {
  if (!root) return flag
  try {
    function findLevel (root) {
      if (!root) return 0
      const leftLevel = findLevel(root.left)
      const rightLevel = findLevel(root.right)
      if (Math.abs(leftLevel - rightLevel) > 1) {
        throw new Error()
      }
      return Math.max(leftLevel, rightLevel) + 1
    }
    findLevel(root)
  } catch (err) {
    return false
  }
  return true
};

image.png

第二种方法(递归)

这个方法也是使用递归方法,跟第一种方法类似,先定义函数findLevel,找当前节点的最大层级

然后它是先判断根节点左右边树是否时为平衡二叉树。

如果是,则再递归遍历左边树的子节点以及右边树的子节点

只要有不符合平衡二叉树的,则返回false。

如果都符合的才返回true。

这个方法会对整个节点遍历两次,复杂度会比第一种方法高一倍。

/**
 * Definition for a binary tree node.
 * function TreeNode(val, left, right) {
 *     this.val = (val===undefined ? 0 : val)
 *     this.left = (left===undefined ? null : left)
 *     this.right = (right===undefined ? null : right)
 * }
 */
/**
 * @param {TreeNode} root
 * @return {boolean}
 */
var isBalanced = function (root) {
  if (!root) return true
  function findLevel (root) {
    if (!root) return 0
    return Math.max(findLevel(root.left), findLevel(root.right)) + 1
  }
  return Math.abs(findLevel(root.left) - findLevel(root.right)) <= 1 && isBalanced(root.left) && isBalanced(root.right)
};

image.png