[路飞] 142. 环形链表 II

143 阅读3分钟

题目详情

给定一个链表的头节点  head ,返回链表开始入环的第一个节点。 如果链表无环,则返回 null。

如果链表中有某个节点,可以通过连续跟踪 next 指针再次到达,则链表中存在环。 为了表示给定链表中的环,评测系统内部使用整数 pos 来表示链表尾连接到链表中的位置(索引从 0 开始)。如果 pos 是 -1,则在该链表中没有环。注意:pos 不作为参数进行传递,仅仅是为了标识链表的实际情况。

不允许修改 链表。

 

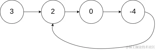
示例 1:

1.png

输入:head = [3,2,0,-4], pos = 1 输出:返回索引为 1 的链表节点 解释:链表中有一个环,其尾部连接到第二个节点。

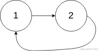
示例 2:

2.png

输入:head = [1,2], pos = 0 输出:返回索引为 0 的链表节点 解释:链表中有一个环,其尾部连接到第一个节点。

示例 3:

3.png

输入:head = [1], pos = -1 输出:返回 null 解释:链表中没有环。  

提示:

链表中节点的数目范围在范围 [0, 104] 内 -105 <= Node.val <= 105 pos 的值为 -1 或者链表中的一个有效索引

来源:力扣(LeetCode) 链接:leetcode-cn.com/problems/li… 著作权归领扣网络所有。商业转载请联系官方授权,非商业转载请注明出处。

解题思路

1111111.png

如图所示:现在在链表有环的情况下分析。设一个快指针cur和一个慢指针pre,这两个指针的初始位置都在head,慢指针移动速度为1,快指针是它的两倍。设从head到环形开始结点begin的距离是A,慢指针从环形开始结点begin走到相遇点走过的路程是B,快慢指针相遇时的meet到环形结点begin的距离是C。

于是乎~

  • 慢指针pre,从head走到meet的距离为A+B
  • 快指针cur,从head走到meet的距离为A+n(B+C)+B(因为快指针的速度是慢指针的两倍,而在相遇时它们走了相同的时间)
  • 相遇时,慢指针被快指针超了一圈,即快指针比慢指针多走一圈

根据以上分析我们可以得出等到他们相遇时所产生的的相等走过的距离为:2(A+B)=A+n(B+C)+B,可以解得A=(N-1)(B+C)+C;N-1为圈数,B+C是环的周长,C是相遇点meet到begin环形结点的距离,如图所示A=C,那么这时如果我们确定pre和cur已经在meet相遇,我们就再放一个指针temp在head,并让pre慢指针以相同的速度前进,那它们第一次相遇的地方就是我们要找的环形开始结点。

 * Definition for singly-linked list.
 * function ListNode(val) {
 *     this.val = val;
 *     this.next = null;
 * }
 */

/**
 * @param {ListNode} head
 * @return {ListNode}
 */
var detectCycle = function(head) {
    if(!head) return null;
    let pre=head,cur=head;
    while(cur && cur.next){
        pre=pre.next;
        cur=cur.next.next;
        if(pre===cur){
            let temp=head;
            while(pre!==temp){
                pre=pre.next;
                temp=temp.next;
            }
            return pre;
        }
    }
    return null;
};