相交链表

144 阅读5分钟

「这是我参与2022首次更文挑战的第25天,活动详情查看:2022首次更文挑战

前言

笔者除了大学时期选修过《算法设计与分析》和《数据结构》还是浑浑噩噩度过的(当时觉得和编程没多大关系),其他时间对算法接触也比较少,但是随着开发时间变长对一些底层代码/处理机制有所接触越发觉得算法的重要性,所以决定开始系统的学习(主要是刷力扣上的题目)和整理,也希望还没开始学习的人尽早开始。

系列文章收录《算法》专栏中。

力扣题目链接

问题描述

给你两个单链表的头节点 headA 和 headB ,请你找出并返回两个单链表相交的起始节点。如果两个链表不存在相交节点,返回 null 。

图示两个链表在节点 c1 开始相交:

题目数据 保证 整个链式结构中不存在环。

注意,函数返回结果后,链表必须 保持其原始结构

自定义评测:

评测系统 的输入如下(你设计的程序 不适用 此输入):

  • intersectVal - 相交的起始节点的值。如果不存在相交节点,这一值为 0
  • listA - 第一个链表
  • listB - 第二个链表
  • skipA - 在 listA 中(从头节点开始)跳到交叉节点的节点数
  • skipB - 在 listB 中(从头节点开始)跳到交叉节点的节点数 评测系统将根据这些输入创建链式数据结构,并将两个头节点 headA 和 headB 传递给你的程序。如果程序能够正确返回相交节点,那么你的解决方案将被 视作正确答案

 

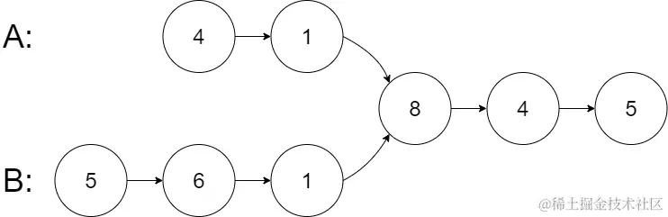
示例 1:

image.png

输入:intersectVal = 8, listA = [4,1,8,4,5], listB = [5,6,1,8,4,5], skipA = 2, skipB = 3
输出:Intersected at '8'
解释:相交节点的值为 8 (注意,如果两个链表相交则不能为 0)。
从各自的表头开始算起,链表 A[4,1,8,4,5],链表 B[5,6,1,8,4,5]。
在 A 中,相交节点前有 2 个节点;在 B 中,相交节点前有 3 个节点。

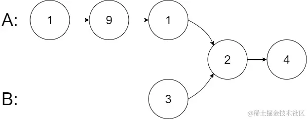
示例 2:

image.png

输入:intersectVal = 2, listA = [1,9,1,2,4], listB = [3,2,4], skipA = 3, skipB = 1
输出:Intersected at '2'
解释:相交节点的值为 2 (注意,如果两个链表相交则不能为 0)。
从各自的表头开始算起,链表 A[1,9,1,2,4],链表 B[3,2,4]。
在 A 中,相交节点前有 3 个节点;在 B 中,相交节点前有 1 个节点。

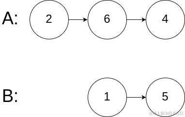
示例 3:

image.png

输入:intersectVal = 0, listA = [2,6,4], listB = [1,5], skipA = 3, skipB = 2
输出:null
解释:从各自的表头开始算起,链表 A[2,6,4],链表 B[1,5]。
由于这两个链表不相交,所以 intersectVal 必须为 0,而 skipA 和 skipB 可以是任意值。
这两个链表不相交,因此返回 null 。

提示:

  • listA 中节点数目为 m
  • listB 中节点数目为 n
  • 1 <= m, n <= 3 * 104
  • 1 <= Node.val <= 105
  • 0 <= skipA <= m
  • 0 <= skipB <= n
  • 如果 listA 和 listB 没有交点,intersectVal 为 0
  • 如果 listA 和 listB 有交点,intersectVal == listA[skipA] == listB[skipB]  

进阶:你能否设计一个时间复杂度 O(m + n) 、仅用 O(1) 内存的解决方案?

剖析

简单的两层遍历这里就不讲了,题目给我的第一反应是用set(这里说的相交,节点就是一样的,包括对象hash和对象引用地址)随便装一个链表,然后遍历另一个链表进行查找是否存在。代码如下:

import java.util.HashSet;
import java.util.Set;

/**
 * 160. 相交链表
 * https://leetcode-cn.com/problems/intersection-of-two-linked-lists/
 */
public class GetIntersectionNode {
    class ListNode {
        int val;
        ListNode next;

        ListNode(int x) {
            val = x;
            next = null;
        }
    }

    public ListNode getIntersectionNode(ListNode headA, ListNode headB) {
        Set<ListNode> nodeSet = new HashSet<>();
        ListNode aNode = headA;
        ListNode bNode = headB;

        //先遍历一遍装上
        while (aNode != null) {
            nodeSet.add(aNode);
            aNode = aNode.next;
        }

        //再遍历链表进行快速匹配查找
        while (bNode != null) {
            if (nodeSet.contains(bNode)) {
                return bNode;
            }
            bNode = bNode.next;
        }

        return null;
    }
}

但是提交了力扣,不管是时间还是空间都不尽人意,看了下题解,可以使用“双指针”下面我们分析一下:

  1. 我们可以观察下题目给的例子图,如果两个链表相交那么它们必定存在重合不管是从一开始还是从某个节点开始到最后,所以必定从某个节点开始就开始重合。

  2. 所以我们可以以较长(两个一样长就任意)的为基础,把短的挪动让尾部对齐(这里就不画图了,相当于把一高一矮的棍子插在地面尾部在同一个水平线),但是不遍历我们就不知道哪个长,同时链表不能随机访问。

  3. 所以我们可以使用“双指针”,当遍历完自身从另外一个链表的头部开始,这样当长的链表也开始跳到另外一个链表的时候,就已经完成了尾部对齐,这样再开始同步遍历直到找到相交节点或者遍历完为止

怎么算出时间复杂度呢,可以设链表A的长度为m,等于差异长度为a,重合长度为c,那么m=a+c。设链表B的长度为n,等于差异长度为b,重合长度为c,那么m=b+c。那么需要遍历的次数为max(m,n)+min(a,b)+1。所以时间复杂度不超过O(m+n)。

下面直接上“双指针”代码。

代码

/**
 * 1. 我们可以观察下题目给的例子图,如果两个链表相交那么它们必定存在重合不管是从一开始还是从某个节点开始到最后,所以必定从某个节点开始就开始重合。
 *
 * 2. 所以我们可以以较长(两个一样长就任意)的为基础,**把短的挪动让尾部对齐**(这里就不画图了,相当于把一高一矮的棍子插在地面尾部在同一个水平线),但是不遍历我们就不知道哪个长,同时链表不能随机访问。
 *
 * 3. 所以我们可以使用“双指针”,当遍历完自身从另外一个链表的头部开始,这样当长的链表也开始跳到另外一个链表的时候,就已经完成了尾部对齐,**这样再开始同步遍历直到找到相交节点或者遍历完为止**。
 *
 * 怎么算出时间复杂度呢,可以设链表A的长度为m,等于差异长度为a,重合长度为c,那么m=a+c。设链表B的长度为n,等于差异长度为b,重合长度为c,那么m=b+c。那么需要遍历的次数为max(m,n)+min(a,b)+1。所以时间复杂度不超过O(m+n)。
 * @param headA
 * @param headB
 * @return
 */
public ListNode getIntersectionNode1(ListNode headA, ListNode headB) {
    ListNode aNode = headA;
    ListNode bNode = headB;

    while (aNode != bNode) {
        aNode = aNode == null ? headB : aNode.next;
        bNode = bNode == null ? headA : bNode.next;
    }

    return aNode;
}