LeetCode:144 二叉树的前序遍历

84 阅读1分钟

「这是我参与2022首次更文挑战的第15天,活动详情查看:2022首次更文挑战

题目

给你二叉树的根节点 root ,返回它节点值的 前序 遍历。

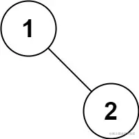
示例 1:

img

输入:root = [1,null,2,3]
输出:[1,2,3]

示例 2:

输入:root = []
输出:[]

示例 3:

输入:root = [1]
输出:[1]

示例 4:

img

输入:root = [1,2]
输出:[1,2]

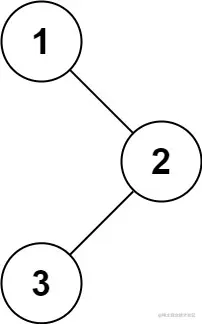
示例 5:

img

输入:root = [1,null,2]
输出:[1,2]

提示:

  • 树中节点数目在范围 [0, 100]
  • -100 <= Node.val <= 100

**进阶:**递归算法很简单,你可以通过迭代算法完成吗?

解题

解题一:递归

思路

使用递归的方式打印二叉树

代码

/**
 * Definition for a binary tree node.
 */
public class TreeNode {
    int val;
    TreeNode left;
    TreeNode right;

    TreeNode() {
    }

    TreeNode(int val) {
        this.val = val;
    }

    TreeNode(int val, TreeNode left, TreeNode right) {
        this.val = val;
        this.left = left;
        this.right = right;
    }
}

class Solution {
    List<Integer> result = new ArrayList<Integer>();

    public List<Integer> preorderTraversal(TreeNode root) {
        if (root == null) {
            return result;
        }
        result.add(root.val);
        preorderTraversal(root.left);
        preorderTraversal(root.right);
        return result;
    }
}

总结

性能分析

  • 执行耗时:0 ms,击败了 100.00% 的 Java 用户
  • 内存消耗:39.4 MB,击败了 12.56% 的 Java 用户

解题二:栈

思路

使用栈的思想

  1. 将 root 压入栈 stack 中
  2. 每次从栈中弹出一个节点 pop
  3. 将 pop 的 val 存入 result 中
  4. 如果 pop 有右孩子,把 pop 右孩子压入栈
  5. 如果 pop 有左孩子,再把 pop 左孩子压入栈
  6. 周而复始 2-6 的步骤,直到 stack 为空

代码

/**
 * Definition for a binary tree node.
 */
public class TreeNode {
    int val;
    TreeNode left;
    TreeNode right;

    TreeNode() {
    }

    TreeNode(int val) {
        this.val = val;
    }

    TreeNode(int val, TreeNode left, TreeNode right) {
        this.val = val;
        this.left = left;
        this.right = right;
    }
}

class Solution {
    List<Integer> result = new ArrayList<Integer>();

    public List<Integer> preorderTraversal(TreeNode root) {
        List<Integer> result = new ArrayList<Integer>();
        if (root != null) {
            Stack<TreeNode> stack = new Stack<TreeNode>();
            stack.push(root);
            while (!stack.isEmpty()) {
                TreeNode pop = stack.pop();
                result.add(pop.val);
                if (pop.right != null) {
                    stack.push(pop.right);
                }
                if (pop.left != null) {
                    stack.push(pop.left);
                }
            }
        }
        return result;
    }
}

总结

性能分析

  • 执行耗时:0 ms,击败了 100.00% 的 Java 用户
  • 内存消耗:39.8 MB,击败了 5.04% 的 Java 用户