LeetCode 206. 反转链表

104 阅读1分钟

206. 反转链表

难度 简单

给你单链表的头节点 head ,请你反转链表,并返回反转后的链表。

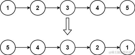
示例 1:

img

输入:head = [1,2,3,4,5]
输出:[5,4,3,2,1]

示例 2:

img

输入:head = [1,2]
输出:[2,1]

示例 3:

输入:head = []
输出:[]

提示:

  • 链表中节点的数目范围是 [0, 5000]
  • -5000 <= Node.val <= 5000

题解

这是一道经典的指针反转问题,一般采用前后指针去辅助解题

  • pre,保存前一个节点
  • now,保存当前节点
  • next,保存下一个节点

具体过程,主要为三步,

  • 第一,先通过next保存now的下一个节点,防止断链
  • 第二,改变now的指向,翻转指针
  • 第三,更新pre为now,now为next,移动指针
/**
 * Definition for singly-linked list.
 * public class ListNode {
 *     int val;
 *     ListNode next;
 *     ListNode() {}
 *     ListNode(int val) { this.val = val; }
 *     ListNode(int val, ListNode next) { this.val = val; this.next = next; }
 * }
 */
class Solution {
    public ListNode reverseList(ListNode head) {
        ListNode pre = null;//pre节点
        ListNode now = head;//now节点
        ListNode next;//next节点
        while(now != null){//now不为空
            next = now.next;//保存now的下一个节点,防止断链
            now.next = pre;//翻转指针
            pre = now;//移动pre
            now = next;//移动now
        }
        return pre;
    }
}