[路飞] 141.环形链表

138 阅读2分钟

题目链接:leetcode-cn.com/problems/li…

题目详情:

给你一个链表的头节点 head ,判断链表中是否有环。

如果链表中有某个节点,可以通过连续跟踪 next 指针再次到达,则链表中存在环。 为了表示给定链表中的环,评测系统内部使用整数 pos 来表示链表尾连接到链表中的位置(索引从 0 开始)。注意:pos 不作为参数进行传递 。仅仅是为了标识链表的实际情况。

如果链表中存在环 ,则返回 true 。 否则,返回 false 。

 

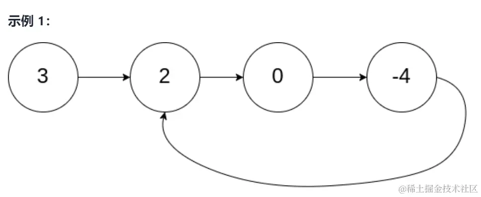
微信图片_20220212162456.png

输入:head = [3,2,0,-4], pos = 1 输出:true 解释:链表中有一个环,其尾部连接到第二个节点。

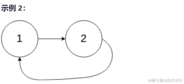
微信图片_20220212162546.png

输入:head = [1,2], pos = 0 输出:true 解释:链表中有一个环,其尾部连接到第一个节点。

微信图片_20220212162651.png

输入:head = [1], pos = -1 输出:false 解释:链表中没有环。  

解题思路: 定义两个指针,一个慢指针,一个快指针,并且一开始慢指针和快指针都指向head节点,然后快指针每次移动两步,慢指针每次移动一步,开始遍历链表。

   1、如果head或head.next为空 直接返回false
   2、定义两个指针walk,run,并且初始化都指向head
   3、当run不为空且run.next不为空,walk每次移动一步,run移动两步
   4、此时如果链表中有环,则walk和run会在一定位置相等,如果没有环,会走到末尾返回false
/**
 * Definition for singly-linked list.
 * function ListNode(val) {
 *     this.val = val;
 *     this.next = null;
 * }
 */

/**
 * @param {ListNode} head
 * @return {boolean}
 */
var hasCycle = function(head) {
    if(!head) return false;//如果链表head为空,就返回false
    let walk=head,run=head;//定义两个指针,指向head节点 walk慢指针,run快指针
    while(run && run.next){//判断run是否为空,如果不为空就继续
        walk=walk.next;//慢指针走一步
        run=run.next.next;//快指针跑两步
        if(walk===run){//如果快慢指针相等了,证明有环
            return true;
        }
    }
    return false;//如果快指针跑到这里,那就证明没环
};