二十天刷题计划-- 所有可能的路径

210 阅读2分钟

「这是我参与2022首次更文挑战的第25天,活动详情查看:2022首次更文挑战」。

1.题目

所有可能的路径

给你一个有 n 个节点的 有向无环图(DAG),请你找出所有从节点 0 到节点 n-1 的路径并输出(不要求按特定顺序)

 graph[i] 是一个从节点 i 可以访问的所有节点的列表(即从节点 i 到节点 graph[i][j]存在一条有向边)。

 

示例 1:

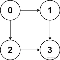
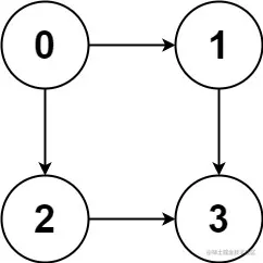
输入:graph = [[1,2],[3],[3],[]] 输出:[[0,1,3],[0,2,3]] 解释:有两条路径 0 -> 1 -> 3 和 0 -> 2 -> 3

示例 2:

输入:graph = [[4,3,1],[3,2,4],[3],[4],[]] 输出:[[0,4],[0,3,4],[0,1,3,4],[0,1,2,3,4],[0,1,4]]  

提示:

n == graph.length

2 <= n <= 15

0 <= graph[i][j] < n

graph[i][j] != i(即不存在自环)

graph[i] 中的所有元素 互不相同

保证输入为 有向无环图(DAG)


思路

深度优先搜索

我们可以使用深度优先搜索的方式求出所有可能的路径。具体地,我们从 00 号点出发,使用栈记录路径上的点。每次 我们遍历到点 n-1n−1,就将栈中记录的路径加入到答案中。

特别地,因为本题中的图为有向无环图(\text{DAG}DAG),搜索过程中不会反复遍历同一个点,因此我们无需判断当前点是否遍历过。

时间复杂度:O(n \times 2^n)O(n×2 n ),其中 nn 为图中点的数量。我们可以找到一种最坏情况,即每一个点都可以去往编号比它大的点。此时路径数为 O(2^n)O(2 n ),且每条路径长度为 O(n)O(n),因此总时间复杂度为 O(n \times 2^n)O(n×2 n )。

空间复杂度:O(n)O(n),其中 nn 为点的数量。主要为栈空间的开销。注意返回值不计入空间复杂度。


代码

var allPathsSourceTarget = function(graph) {
    let end = graph.length - 1, res = []

    function dfs(node, path) {
        for (let n of node) {
            if (n === end) {
                res.push([...path, n])
            } else {
                dfs(graph[n], [...path, n])
            }
        }
    }
    dfs(graph[0], [0])

    return res
};