js算法题解(第十四天)---141. 环形链表和142. 环形链表 II

747 阅读3分钟

「这是我参与2022首次更文挑战的第15天,活动详情查看:2022首次更文挑战

前言

死磕算法,每天至少完成一道算法题

咱们今天做一下链表的知识点,想必好多人都听说过----环,链表的题目只要我们掌握了一个技巧,那么就可以所向披靡

环问题解决技巧

图片.png

环问题解决的关键就是立一个flag,你想想,如果你在经历过得节点立上flag,那么等你在经过的时候,发现这个节点上有flag,证明有环呀,就像李雷在北极立了一个flag,一直向一个方向航行,最后又回到了北极,发现了自己的flag,从此证明了地球真的是圆的一样

所以解答此类题目是一样的,往节点上加flag就可以了

题目

这是leetcode上的第141道题目141. 环形链表

给你一个链表的头节点 head ,判断链表中是否有环。

如果链表中有某个节点,可以通过连续跟踪 next 指针再次到达,则链表中存在环。 为了表示给定链表中的环,评测系统内部使用整数 pos 来表示链表尾连接到链表中的位置(索引从 0 开始)。注意:pos 不作为参数进行传递 。仅仅是为了标识链表的实际情况。

如果链表中存在环 ,则返回 true 。 否则,返回 false 。

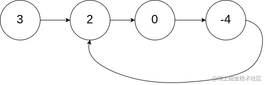
图片.png

示例 1:

输入:head = [3,2,0,-4], pos = 1

输出:true

解释:链表中有一个环,其尾部连接到第二个节点。

掌握了上面的flag写法以后,真的,我们只要会循环就能写对环形链表的题目

var hasCycle = function(head) {
    // 注意判断是否存在节点
    if(!head){
        return false;
    }
    // 开始循环
    while(head){
        if(head.flag){
            return true;
        }else{
            // 给新节点一个flag
            head.flag = true;
            head= head.next;
        }
    }
    return false;
};

接下来我们再看一下环形链表的升级题目

题目

这是leetcode上的第142道题目142. 环形链表 II

给定一个链表的头节点 head ,返回链表开始入环的第一个节点。 如果链表无环,则返回 null。

如果链表中有某个节点,可以通过连续跟踪 next 指针再次到达,则链表中存在环。 为了表示给定链表中的环,评测系统内部使用整数 pos 来表示链表尾连接到链表中的位置(索引从 0 开始)。如果 pos 是 -1,则在该链表中没有环。注意:pos 不作为参数进行传递,仅仅是为了标识链表的实际情况。

不允许修改 链表。

图片.png

示例 1:

输入:head = [3,2,0,-4], pos = 1

输出:返回索引为 1 的链表节点

解释:链表中有一个环,其尾部连接到第二个节点。

题还是那个题目就是返回的不一样,我们稍微改一下返回的值就行了

var detectCycle = function(head) {
    while(head){
        if(head.flag){
            return head;
        }else{
            head.flag = true;
            head = head.next;
        }
        
    }
    return null;
};

就是这么简单,轻轻松松拿下链表题目

参考