39-leetCode: 面试题 02.08. 环路检测

124 阅读1分钟

题目

给定一个链表,如果它是有环链表,实现一个算法返回环路的开头节点。若环不存在,请返回 null。

如果链表中有某个节点,可以通过连续跟踪 next 指针再次到达,则链表中存在环。 为了表示给定链表中的环,我们使用整数 pos 来表示链表尾连接到链表中的位置(索引从 0 开始)。 如果 pos 是 -1,则在该链表中没有环。注意:pos 不作为参数进行传递,仅仅是为了标识链表的实际情况。

 

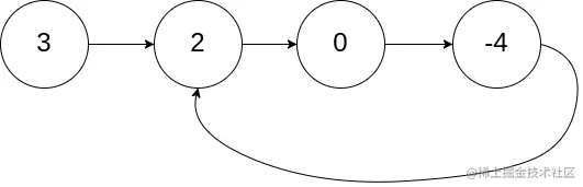
示例

输入:head = [3,2,0,-4], pos = 1
输出:tail connects to node index 1
解释:链表中有一个环,其尾部连接到第二个节点。

解题思路

给头部节点指定快慢指针,当快慢指针相遇时,说明头部指针和相遇指针到环形节点的第一个节点的距离是相等的(小学数学),此时,将慢指针指向头部节点,与快指针一起以相同步数同步走,相遇时的节点即为环形节点的第一个节点

/**
 * @param {ListNode} head
 * @return {ListNode}
 */
var detectCycle = function(head) {
    // 小于2个节点的直接返回null
    if (!head || !head.next) return null;
    // 设定快慢指针
    let slow = head, fast = head;
    // 当快慢指针相遇时, 说明头部节点与相遇节点到环形第一个节点的距离是相等的,此步骤找到相遇的节点
    while(fast && fast.next) {
        slow = slow.next;
        fast = fast.next.next;
        if (slow === fast) {
            break;
        }
    }
    // 非环形,直接返回null
    if (slow !== fast) {
        return null;
    }

    // 让慢指针重新指向头节点,然后和快指针同时同速向前走,相遇时,即为环形第一个节点
    slow = head;
    while(slow !== fast) {
        slow = slow.next;
        fast = fast.next;
    }
    // 返回快慢都行
    return slow;
};