LeetCode:92 反转链表II

130 阅读2分钟

「这是我参与2022首次更文挑战的第12天,活动详情查看:2022首次更文挑战

题目

给你单链表的头指针 head 和两个整数 leftright ,其中 left <= right 。请你反转从位置 left 到位置 right 的链表节点,返回 反转后的链表

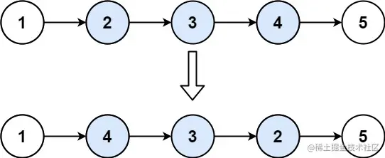
示例 1:

img

输入:head = [1,2,3,4,5], left = 2, right = 4
输出:[1,4,3,2,5]

示例 2:

输入:head = [5], left = 1, right = 1
输出:[5]

提示:

  • 链表中节点数目为 n
  • 1 <= n <= 500
  • -500 <= Node.val <= 500
  • 1 <= left <= right <= n

进阶: 你可以使用一趟扫描完成反转吗?

解题

解题一:截取链表

思路

找到对应需要反转的链表,截取下来之后使用反转方法进行反转

代码

/**
 * Definition for singly-linked list.
 */
public class ListNode {
    int val;
    ListNode next;

    ListNode() {
    }

    ListNode(int val) {
        this.val = val;
    }

    ListNode(int val, ListNode next) {
        this.val = val;
        this.next = next;
    }
}

class Solution {
    public ListNode reverseBetween(ListNode head, int left, int right) {
        ListNode result = head;
        if (head == null || head.next == null || left == right) {
            // null 或者 只有一个元素 或者 反转节点一样,返回链表本身
            return head;
        }

        // 截取反转链表左边
        ListNode leftNode = null;
        ListNode tempNode = head;
        // 寻找到指定的节点,然后进行反转
        for (int i = 0; i < left - 1; i++) {
            // 将需要反转的链表截取出来
            leftNode = head;
            tempNode = head.next;
            head = head.next;
        }

        // 截取反转链表右边
        for (int i = 0; i < (right - left); i++) {
            head = head.next;
        }
        ListNode rightNode = head.next;
        head.next = null;

        // 链表反转
        tempNode = reverseList(tempNode);

        // 链表驳接
        if (leftNode != null) {
            leftNode.next = tempNode;
        } else{
            result =  tempNode;
        }

        while (tempNode.next != null) {
            tempNode = tempNode.next;
        }
        tempNode.next = rightNode;
        return result;
    }


    public static ListNode reverseList(ListNode head) {
        // 空链表 和 只有一个节点的链表 返回原本的链表
        if (head == null || head.next == null) {
            return head;
        }
        ListNode tempHead = head.next;
        ListNode tail = tempHead.next;
        head.next = null;
        tempHead.next = head;
        head = tempHead;
        while (tail != null) {
            tempHead = tail;
            tail = tail.next;
            tempHead.next = head;
            head = tempHead;
        }
        return head;
    }
}

总结

  • 执行耗时:0 ms,击败了 100.00% 的 Java 用户
  • 内存消耗:36 MB,击败了 55.88% 的 Java 用户

解题二:头插法

思路

将需要反转的节点头插进入

代码

/**
 * Definition for singly-linked list.
 */
public class ListNode {
    int val;
    ListNode next;

    ListNode() {
    }

    ListNode(int val) {
        this.val = val;
    }

    ListNode(int val, ListNode next) {
        this.val = val;
        this.next = next;
    }
}

class Solution {
    public ListNode reverseBetween(ListNode head, int left, int right) {
        ListNode result = head;
        if (head == null || head.next == null || left == right) {
            // null 或者 只有一个元素 或者 反转节点一样,返回链表本身
            return head;
        }

        // 截取反转链表左边
        ListNode leftNode = null;
        ListNode tempNode = head;
        // 寻找到指定的节点,然后进行插入
        for (int i = 0; i < left - 1; i++) {
            // 将需要反转的链表截取出来
            leftNode = head;
            tempNode = head.next;
            head = head.next;
        }

        ListNode nextHead = tempNode.next;
        // 插入 leftNode 和 tempNode 之间,达到反转效果
        for (int i = 0; i < (right - left); i++) {
            tempNode.next = nextHead.next;
            if (leftNode == null) {
                nextHead.next = result;
                result = nextHead;
            } else {
                nextHead.next = leftNode.next;
                leftNode.next = nextHead;
            }
            nextHead = tempNode.next;
        }
        return result;
    }
}

总结

  • 执行耗时:0 ms,击败了 100.00% 的 Java 用户
  • 内存消耗:35.8 MB,击败了 81.81% 的 Java 用户