[路飞]_684. 冗余连接

83 阅读1分钟

题目地址

题目描述

树可以看成是一个连通且 无环 的 无向 图。

给定往一棵 n 个节点 (节点值 1~n) 的树中添加一条边后的图。添加的边的两个顶点包含在 1 到 n 中间,且这条附加的边不属于树中已存在的边。图的信息记录于长度为 n 的二维数组 edges ,edges[i] = [ai, bi] 表示图中在 ai 和 bi 之间存在一条边。

请找出一条可以删去的边,删除后可使得剩余部分是一个有着 n 个节点的树。如果有多个答案,则返回数组 edges 中最后出现的边。

示例 1:

image.png

输入: edges = [[1,2], [1,3], [2,3]]
输出: [2,3]

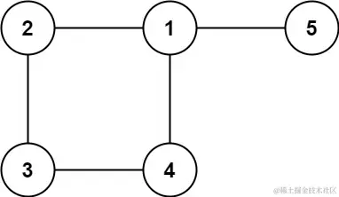
示例 2:

image.png

输入: edges = [[1,2], [2,3], [3,4], [1,4], [1,5]]
输出: [1,4]

解题思路

代码

// 先写一个并查集模板
class UnionSet{
    constructor(n) {
        this.parent = new Array(n).fill(1).map((value, index) => value);
    }
    get(n) {
        return this.parent[x] = this.parent[x] == x ? x : this.get(this.parent[x]);
    }
    merge(a, b) {
        if(this.get(a) == this.get(b)) return;
        const root = this.get(b);
        this.parent[this.get(a)] = root;
    }
}
var findRedundantConnection = function(edges) {
    const uf = new UnionSet(edges.length);
    for(e of edges) {
        let a = e[0];
        let b = e[1];
        if(this.get(a) == this.get(b)) return e;
        uf.merge(a, b);
    }
}