js算法题解(第十二天)---206. 反转链表

214 阅读3分钟

「这是我参与2022首次更文挑战的第13天,活动详情查看:2022首次更文挑战

前言

死磕算法,每天至少一道算法题,今天再把我们的誓言延伸一下,能把算法写出来没啥,能让别人听懂,看懂,并掌握才算自己真正的懂了,加油💪🏻

昨天我们讲了快慢指针,今天我们来讲多指针,有些小伙伴可能在想,快慢指针都已经很头疼了,咋还玩多指针。其实我们学东西的时候,要学会这个东西的使用场景,什么时候往这上面套,就会用的得心应手了

题目

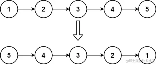
这是leetcode上的第206道题目206. 反转链表

给你单链表的头节点 head ,请你反转链表,并返回反转后的链表。

图片.png

示例 1:

输入:head = [1,2,3,4,5] 输出:[5,4,3,2,1]

多指针

多指针其实并没有那么复杂,其实也就是多个变量,所指向不同的节点

适用场景:反转链表

思路

第一步:从题中提取关键字

这次没啥可提取的,直接分析吧

第二步:分析

  • 1.我们前面说过做链表题无论是合并,删除等操作都是操作next指针,今天这句话要改一下,加上反转,哈哈😝
  • 2.当前这道题如果要反转的话,比如3节点要反转的话,那么就把next改成指向2,但是问题来了,如果改成2的话,那么没法往下循环了,桥断了

图片.png

  • 3.所以在拆桥之前,我们要先把对岸也就是4节点保存起来,然后再拆

我们还是先写框架

var reverseList = function(head) {
    // 这是必须有的
    if(!head||!head.next){
        return head;
    }
    let dummy = new ListNode();
    dummy.next = head;
    let cur = dummy;
    while(执行条件){
        // 循环
        cur = cur.next;
    }
    return dummy.next;
};

开始填写内容,定义pre,cur,next三个指针

 // 注意初始pre必须是null,因为他是反转后的最后一个元素
    let pre = null;
    let cur = dummy.next;
    while(cur){
         // next不能写到外面,如果cur为null的话,那么cur.next就报错了
         let next = cur.next;
    }
   

题解

/**
 * Definition for singly-linked list.
 * function ListNode(val, next) {
 *     this.val = (val===undefined ? 0 : val)
 *     this.next = (next===undefined ? null : next)
 * }
 */
/**
 * @param {ListNode} head
 * @return {ListNode}
 */
var reverseList = function(head) {
    // 这是必须有的
    if(!head||!head.next){
        return head;
    }
    let dummy = new ListNode();
    dummy.next = head;
    // 注意初始pre必须是null,因为他是反转后的最后一个元素
    let pre = null;
    let cur = dummy.next;
  
    // 只要cur.val不为null,就继续遍历
    while(cur){
        let next = cur.next;
        // 改变指针指向
        cur.next = pre;
        // 更新前节点
        pre = cur; 
        // 更新当前节点
        cur = next;
        
    }
    return pre;
};

总结

我觉得这种方法还是比较好理解的

  • 第一步:先写出基本框架
  • 第二步:定义三个节点(记住:反转链表需要三个节点)
  • 第三部:改变指针指向,再把三个节点的值更新一下,next在while中更新

看了提交后的时间复杂度

图片.png

还是比较符合预期的

参考