☆打卡算法☆LeetCode 98、验证二叉搜索树 算法解析

193 阅读3分钟

这是我参与2022首次更文挑战的第21天,活动详情查看:2022首次更文挑战

推荐阅读

大家好,我是小魔龙,Unity3D软件工程师,VR、AR,虚拟仿真方向,不定时更新软件开发技巧,生活感悟,觉得有用记得一键三连哦。

一、题目

1、算法题目

“给定一个二叉树的根节点root,判断其是否是一个有效的二叉搜索树。”

题目链接:

来源:力扣(LeetCode)

链接:98. 验证二叉搜索树 - 力扣(LeetCode) (leetcode-cn.com)

2、题目描述

给你一个二叉树的根节点 root ,判断其是否是一个有效的二叉搜索树。

有效 二叉搜索树定义如下:

  • 节点的左子树只包含 小于 当前节点的数。
  • 节点的右子树只包含 大于 当前节点的数。
  • 所有左子树和右子树自身必须也是二叉搜索树。

image.png

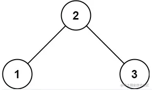
示例 1:
输入: root = [2,1,3]
输出: true
示例 2:
输入: root = [5,1,4,null,null,3,6]
输出: false
解释: 根节点的值是 5 ,但是右子节点的值是 4

二、解题

1、思路分析

这道题是验证根节点是否是二叉搜索树。

由题意可知,如果该二叉树左子树不为空,则左子树上所有节点的值都小于根节点的值,同样,右子树也一样。

那么,就可以使用一个递归函数,将根节点的最大值最小值以及当前节点的值传递进去,然后判断当前节点的值是否满足在根节点的最大值最小值区间内,不满足则直接返回,满足则继续递归检查。

2、代码实现

代码参考:

class Solution {
    public boolean isValidBST(TreeNode root) {
        Deque<TreeNode> stack = new LinkedList<TreeNode>();
        double inorder = -Double.MAX_VALUE;

        while (!stack.isEmpty() || root != null) {
            while (root != null) {
                stack.push(root);
                root = root.left;
            }
            root = stack.pop();
              // 如果中序遍历得到的节点的值小于等于前一个 inorder,说明不是二叉搜索树
            if (root.val <= inorder) {
                return false;
            }
            inorder = root.val;
            root = root.right;
        }
        return true;
    }
}

image.png

3、时间复杂度

时间复杂度 : O(n)

其中n为二叉树的节点个数,每个节点最多被访问一次。

空间复杂度: O(n)

其中n为二叉树的节点个数,栈最多存储n个节点。

三、总结

这道题根据搜索二叉树的属性:

如果该二叉树左子树不为空,则左子树上所有节点的值都小于根节点的值,同样,如果该二叉树右子树不为空,则右子树上所有节点的值都小于根节点的值。

递归调用所有节点,判断是否在合理的区间,在判断是否是合理的二叉搜索树。

递归的时候用了中序遍历,中序遍历是二叉树的一种遍历方式,先遍历左子树,再遍历根节点,最后遍历右子树。

二叉搜索树保证了左子树的节点的值均小于根节点的值,根节点的值均小于右子树的值,因此中序遍历以后得到的序列一定是升序序列。