js算法题解(第十一天)---LeetCode:19. 删除链表的倒数第 N 个结点

173 阅读4分钟

「这是我参与2022首次更文挑战的第12天,活动详情查看:2022首次更文挑战

前言

死磕算法,每天至少完成一道算法题

今天我们开始学习双指针的第二种解法----快慢指针

题目

这是leetcode上的第19道题目19. 删除链表的倒数第 N 个结点

题目如下

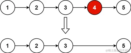
给你一个链表,删除链表的倒数第 n 个结点,并且返回链表的头结点。

难度:中等(可喜可贺,又能做一道中等题目)

图片.png

示例 1:

输入:head = [1,2,3,4,5], n = 2 输出:[1,2,3,5]

快慢指针

解释:快慢指针就是指的就是一前一后两个指针,两个指针往同一个方向走,所不同的就是一个快一个慢

使用场景: 链表,环形链表

使用场景共同点: 需要多次遍历(所以我们分析题目的时候,看这个链表题是不是多次遍历就能得到答案)

思路

第一步:从题目中提取关键词

  • 1.删除链表的倒数第 n 个结点
  • 2.并且返回链表的头结点。

第二步: 分析

  • 1.既然是倒数第n个结点,咱们先用一个测试用例明确题目,假如n=2,那么我们起码要先遍历一次链表,才知道链表一共有几个结点,才知道要删除的第二个节点时第几个节点,然后我们在循环遍历删除那个节点

  • 2.一看到需要多次循环遍历的题目,又是链表的题目,我们应该立马想到快慢指针,这要形成条件反射

  • 3.有同学可能要问了,为什么我们不适用分析一的那种方法,我们既然做的事算法题,应该总结算法的解题技巧,用一些算法思维去解决题目,这样可以更高效

  • 4.快慢指针怎么使用?那就让一个指针先走,然后另一个慢一点走,这个慢的要走多慢才能达到我们的目的呢?是不是只要比快指针慢两个节点就可以了,这样子是不是快指针到终点了,我们直接删除慢指针后面的节点就可以了

图片.png

首先我们先可以把框架写出来,写题先写框架

var removeNthFromEnd = function(head, n) {
    // 注意边界问题,至于!head.next要不要写,这个要根据题目而定,比如这个题目就不能写,你如果写了那么head为[1],n为1,那么你直接返回[1]就是错误的
    if(!head){
        return head;
    }
    // 首先定义虚拟节点
    let dummy = new ListNode();
    // 因为题目最后需要返回链表的头节点,所以我们dummy.next=head;
    dummy.next = head;
    // 定义两个指针
    let quick = dummy;
    let slow = dummy;
    while(判断条件){

        // 循环
        quick = quick.next;
        slow = slow.next;
    }
    return dummy.next;
};

接下来就是更具分析一步一步填写内容了

我们当时分析的是快的先走,慢的比快的慢n步,所以就可以写出来

// quick指针走完,结果也就出来了
    while(quick.next){
        // 快指针安心的走
        if(quick.next){
            quick = quick.next;
            count++;
        }

        // 慢指针慢快指针n+1步后也开始走,因为我们要删除的是倒数第n个,所以要从倒数第n+1个删除
        if(count>=n+1){
            slow = slow.next;
        }
        // 如果快指针走完了,结果也就出来了
        if(!quick.next){
            slow.next = slow.next.next;
        }
        
    }

题解

/**
 * Definition for singly-linked list.
 * function ListNode(val, next) {
 *     this.val = (val===undefined ? 0 : val)
 *     this.next = (next===undefined ? null : next)
 * }
 */
/**
 * @param {ListNode} head
 * @param {number} n
 * @return {ListNode}
 */
var removeNthFromEnd = function(head, n) {
    if(!head){
        return head;
    }
    // 首先定义虚拟节点
    let dummy = new ListNode();
    // 因为题目最后需要返回链表的头节点,所以我们dummy.next=head;
    dummy.next = head;
    // 定义两个指针
    let quick = dummy;
    let slow = dummy;
    let count = 0;
    // quick指针走完,结果也就出来了
    while(quick.next){
        // 快指针安心的走
        if(quick.next){
            quick = quick.next;
            count++;
        }

        // 慢指针慢快指针n+1步后也开始走,因为我们要删除的是倒数第n个,所以要从倒数第n+1个删除
        if(count>=n+1){
            slow = slow.next;
        }
        // 如果快指针走完了,结果也就出来了
        if(!quick.next){
            slow.next = slow.next.next;
        }
        
    }
    return dummy.next;
};

参考

19. 删除链表的倒数第 N 个结点

前端算法与数据结构面试:底层逻辑解读与大厂真题训练