[路飞]_leetcode刷题_1305. 两棵二叉搜索树中的所有元素

133 阅读2分钟

「这是我参与2022首次更文挑战的第19天,活动详情查看:2022首次更文挑战

题目

1305. 两棵二叉搜索树中的所有元素

给你 root1root2 这两棵二叉搜索树。

请你返回一个列表,其中包含 两棵树 中的所有整数并按 升序 排序。.

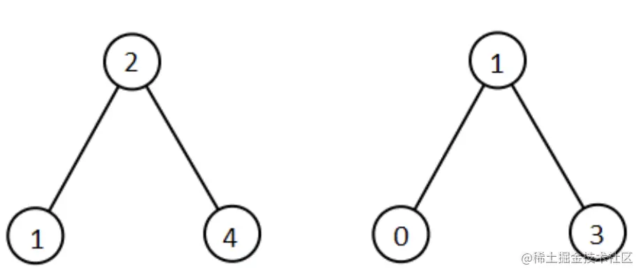
示例 1:

image.png

输入:root1 = [2,1,4], root2 = [1,0,3]
输出:[0,1,1,2,3,4]

示例 2:

输入:root1 = [0,-10,10], root2 = [5,1,7,0,2]
输出:[-10,0,0,1,2,5,7,10]

示例 3:

输入:root1 = [], root2 = [5,1,7,0,2]
输出:[0,1,2,5,7]

示例 4:

输入:root1 = [0,-10,10], root2 = []
输出:[-10,0,10]

示例 5:

image.png

输入:root1 = [1,null,8], root2 = [8,1]
输出:[1,1,8,8]

解法一

暴力解法。先遍历,后排序。

思路

先将两个树分别深度遍历,将每个节点的值都推入到数组中,再执行数组排序即可。 那这里时间复杂度主要都限制在了排序算法上,我们这里为了演示思路,就不手写复杂排序了,直接用js数组自带的sort方法。

代码如下

/**
 * Definition for a binary tree node.
 * function TreeNode(val, left, right) {
 *     this.val = (val===undefined ? 0 : val)
 *     this.left = (left===undefined ? null : left)
 *     this.right = (right===undefined ? null : right)
 * }
 */
/**
 * @param {TreeNode} root1
 * @param {TreeNode} root2
 * @return {number[]}
 */
var getAllElements = function(root1, root2) {
    let arr = [];
    inorder(root1,arr);
    inorder(root2,arr);
    return arr.sort((a,b)=>a-b)
};

function inorder(root,arr){
    if (root == null) {
        return ;
    }
    inorder(root.left, arr)
    arr.push(root.val);
    inorder(root.right, arr)
}

复杂度分析

时间复杂度:O(nlogn),n为两个树的节点总数。sort方法底层是插入+快速排序,所以时间复杂度为O(nlogn)。

空间复杂度:O(n),n为两个树的节点总数。

解法二

中序遍历+合并两个有序数组

思路

由于二叉树的中序遍历,顺序为左根右,那么用中序遍历来遍历二叉搜索树,就天然得到一个有序的数组。

故,将两颗树,用中序遍历分别放入两个数组,这样即可得到两个有序数组。

然后再合并两个有序数组即可。

代码

/**
 * Definition for a binary tree node.
 * function TreeNode(val, left, right) {
 *     this.val = (val===undefined ? 0 : val)
 *     this.left = (left===undefined ? null : left)
 *     this.right = (right===undefined ? null : right)
 * }
 */
/**
 * @param {TreeNode} root1
 * @param {TreeNode} root2
 * @return {number[]}
 */
var getAllElements = function (root1, root2) {
    let arr1 = [];
    let arr2 = [];
    inorder(root1, arr1);
    inorder(root2, arr2);
    return merge(arr1, arr2);
};

function merge(arr1, arr2) {
    let p1 = 0, p2 = 0;
    let arr = [];
    while (p1 <= arr1.length - 1 && p2 <= arr2.length - 1) {
        if (arr1[p1] <= arr2[p2]) {
            arr.push(arr1[p1]);
            p1++;
        } else {
            arr.push(arr2[p2]);
            p2++
        }
    }
    if (p1 <= arr1.length - 1) {
        while (p1 <= arr1.length - 1) {
            arr.push(arr1[p1]);
            p1++
        }
    } else if (p2 <= arr2.length - 1) {
        while (p2 <= arr2.length - 1) {
            arr.push(arr2[p2]);
            p2++
        }
    }
    return arr;
}

function inorder(root, arr) {
    if (root == null) {
        return;
    }
    inorder(root.left, arr)
    arr.push(root.val);
    inorder(root.right, arr)
}

复杂度分析

时间复杂度:O(n),n为两个树的总节点数。

空间复杂度:O(n), 两个数组总共是O(n),最后合并又是一个O(n)的数组,总共O(2n),还是记为O(n)。