[路飞_js算法:环路检测]

116 阅读1分钟

环路检测

问题描述: 给定一个链表,如果它是有环链表,实现一个算法返回环路的开头节点。若环不存在,请返回 null

如果链表中有某个节点,可以通过连续跟踪 next 指针再次到达,则链表中存在环。 为了表示给定链表中的环,我们使用整数 pos 来表示链表尾连接到链表中的位置(索引从 0 开始)。 如果 pos-1,则在该链表中没有环。注意:pos 不作为参数进行传递,仅仅是为了标识链表的实际情况。(by leetcode 02.08

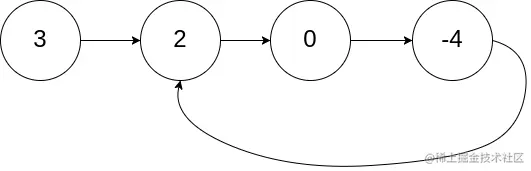
示例 :

img

输入:head = [3,2,0,-4], pos = 1
输出:tail connects to node index 1
解释:链表中有一个环,其尾部连接到第二个节点。

思路: 利用快慢指针

/**
 * Definition for singly-linked list.
 * function ListNode(val) {
 *     this.val = val;
 *     this.next = null;
 * }
 *//**
 * @param {ListNode} head
 * @return {ListNode}
 */
var detectCycle = function(head) {
    if(head==null||head.next==null)return null;
    let slow=head.next,fast=head.next.next;
    while(slow!==fast&&fast!==null){
        slow=slow.next; 
        fast=fast.next!==null?fast.next.next:null;
    }
    if(fast==null)return null;
    slow=head;
    while(slow!==fast){
        slow=slow.next; 
        fast=fast.next
    }
    return slow
};