LeetCode 刷题笔记【206. 反转链表】

149 阅读2分钟

「这是我参与2022首次更文挑战的第1天,活动详情查看:2022首次更文挑战」。

题目

leetcode-cn.com/problems/re…

给你单链表的头节点 head ,请你反转链表,并返回反转后的链表。

示例

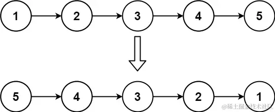
image.png

输入: head = [1,2,3,4,5]
输出: [5,4,3,2,1]

非递归解法

思路

首先观察示例特点

before: 1 -> 2 -> 3 -> 4 -> 5 -> null

after: null <- 1 <- 2 <- 3 <- 4 <- 5

看反转后的结果,整个链表最左边的元素为原初始节点(1)的 next,故设置为 null, 此后遍历链表,将当前节点的 next 设置为 上一个节点 pre,而后将 pre 更新为当前节点 current

var reverseList = function(head) {
  var current = head; // 当前节点
  var pre = null; // 前一个节点

  while(current) {
    var next = current.next;
    current.next = pre;
    pre = current;

    current = next;
  }
  return pre;
};

递归写法

递归的主要有三个要素

  1. 单次处理逻辑
  2. 循环调用
  3. 终止条件

before: 1 -> 2 -> 3 -> 4 -> 5 -> null

after: null <- 1 <- 2 <- 3 <- 4 <- 5

1. 单次处理逻辑

先看第一次的处理,我们要把 2 的 next 设置为 1,同时把 1 的 next 设置为 null;

最终返回的 head.next 也就是 2,即:2 -> 1 -> null。

var reverseList = function(head) {
  head.next.next = head;
  head.next = null;
  return head.next;
};

2. 循环调用

处理完 1 ,接下来就是处理 2,所以很明显递归调用的参数要是 2,即:reverseList(head.next)

var reverseList = function(head) {
  var newHead = reverseList(head.next);
  head.next.next = head;
  head.next = null;
  return newHead;
};

一个关键的问题是 reverseList(head.next) 应该加在代码的哪一行。 如果加在 head.next.next = head; head.next = null; 的后面,那我们传入的参数是改变后的,而我们要传入改变前的节点,所以放到最前面。

另一个关键的点是返回值,由之前的 reutrn head.next 变成了 return newHead;(newHead = reverseList(head.next))

3. 终止条件

因为我们最终要的结果是反转后的链表,即需要返回原链表的最后一个非空节点,所以返回值一定是递归方法返回的最后一个值。

如果 head 为空或者其 next 为空,说明已经遍历到最后一个节点,直接返回,他,就是新链表的头节点。

var reverseList = function(head) {
  if (!head || !head.next) {
    return head;
  }
  var newHead = reverseList(head.next);
  head.next.next = head;
  head.next = null;
  return newHead;
};

结语

学习了官方题解中介绍的两种方法,A过之后按照自己的话整理一遍解题思路,补充了点细节,相对来说更好理解一些。