边缘概率与条件概率

656 阅读1分钟

边缘概率:在一组变量的联合概率分布中,其中一个子集的概率分布。

离散型随机变量x和y,并且知道P(x,y)。对于P(x)有:

image.png

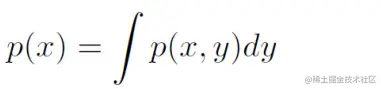
连续型变量,可以用积分代替求和: image.png

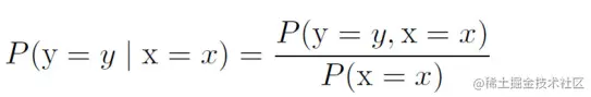
条件概率:某件事件在给定其他事件发生时出现的概率。通过下面公式计算: image.png

条件概率的链式法则(chain rule):任何多维随机变量的联合概率分布,都可以分解成只有一个变量的条件概率相乘的形式。 image.png 例如:P(a,b,c) = P(a|b,c)P(b,c)=P(a|b,c)P(b|c)P(c)