文章来源 | 恒源云社区
原文地址 | Flooding-X: 超参数无关的 Flooding 方法
原文作者 | Mathor
所谓大佬,就是只要你肯挖,总有你不知道的知识点在某个地方等着你来学习!
往下看,这不就来了吗!
正文开始:
ICML2020的论文《Do We Need Zero Training Loss After Achieving Zero Training Error?》提出了一种Flooding方法,用于缓解模型过拟合,详情可以看我的文章《我们真的需要把训练集的损失降到零吗?》。这里简单过一下,论文提出了一个超参数b,并将损失函数改写为

其中,b是预先设定的阈值,当L(θ) > b时L~(θ)=L(θ),这时就是执行普通的梯度下降;而L(θ)<b时L~(θ)=2b-L(θ),注意到损失函数变号了,所以这时候是梯度上升。因此,总的来说就是以b为阈值,低于阈值时反而希望损失函数变大。论文把这个改动称为Flooding
这样做有什么效果呢?论文显示,在某些任务中,训练集的损失函数经过这样处理后,验证集的损失能出现 “二次下降(Double Descent)”,如下图

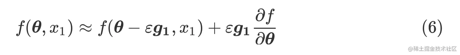
我们可以假设梯度先下降一步后上升一步,学习率为ε,通过泰勒展开可以得到
其中,θn表示第n次迭代的参数,g(θn−1)=∇θL(θn−1)表示损失对参数θn−1的梯度。式(2)的结果相当于以2ε2为学习率、损失函数为梯度惩罚∣g(θ)∣∣2=∣∣∇θL(θ)∣∣2∣ 的梯度下降
详细的推导过程见《我们真的需要把训练集的损失降到零吗?》
ACHILLES’ HEEL OF FLOODING
Flooding的阿喀琉斯之踵在于超参数b,我们需要花非常多的时间寻找最佳的阈值b,这并不是一件容易的事
Achilles’ Heel(阿喀琉斯之踵)阿喀琉斯是古希腊神话故事中的英雄人物,刀枪不入,唯一的弱点是脚后跟(踵)。后用于来比喻某东西的致命缺陷
下图展示了使用BERT在SST-2数据集上不同的阈值b对结果的影响(黄色区域是最佳结果)。可以看出,b的设置对结果的影响非常大

GRADIENT ACCORDANCE
ACL2022的投稿有一篇名为《Flooding-X: Improving BERT’s Resistance to Adversarial Attacks via Loss-Restricted Fine-Tuning》的文章,以"梯度一致性"作为开启Flooding的"阀门",而不再采用超参数b。具体来说,我们首先定义包含参数θ的模型f,考虑一个样本x以及真实标签y,它们的损失为L(f(θ,x),y),损失关于参数的梯度为

其中,式(3)的负值就是参数θ更新的方向。现在我们考虑两个样本(x1,y1),(x2,y2)的情况,根据上述定义,样本1的梯度为
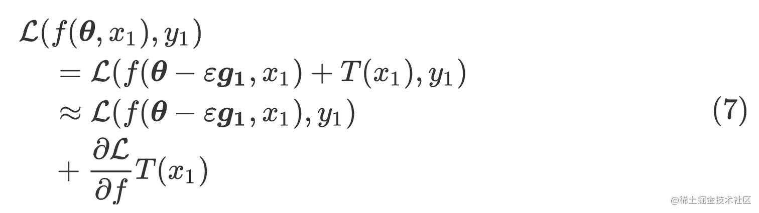
对于样本1来说,参数更新所导致的损失变化为

将f(θ,x1)通过泰勒展开变形得

εg1f(θ−εg1,x1)−f(θ,x1)=∂θ∂f
我们将εg1∂θ∂f记作T(x1),并对L(f(θ,x1),y1)做类似的泰勒展开得

根据式(6)可以推出第一个等号,约等于是从泰勒展开推导的,具体来说
T(x1)L(A+T(x1),y1)−L(A,y1)=L′
将式(7)带入式(5)得

类似的,参数根据样本(x1,y1)更新后,在样本(x2,y2)上的损失差为ΔL2=−εg1⋅g2
值得注意的是,根据定义,ΔL1是负的,因为模型是对于(x1,y1)更新的,自然就会导致其损失的降低。如果ΔL2也是负的,那么在(x1,y1)上更新的模型被认为对(x2,y2)有积极的影响。上面的等式表明,这种共同关系相当于两个样本的梯度g1,g2之间的乘积,我们称其为梯度一致性(Gradient Accordance)
COARSE-GRAINED GRADIENT ACCORDANCE
上面提到的可以看作是样本级别的梯度一致性,由于其粒度太细,计算起来非常复杂,因此我们将其应用到batch级别的粗粒度上进行计算
考虑训练过程中包含n个样本的mini-batch B0 ,其中样本X=x1,x2,…,xn,标签y=y1,y2,…,yn,其中∈c1,c2,…,ck,即有k个类别。这些样本可以根据它们的标签拆分成k组(每组内的样本标签是一样的)
由此可以将B0拆分成多个子batch的并集,B0=B01∪B02∪⋯B0k。我们定义两个子batch B01和B02的类一致性分数为
其中,g1是模型在样本集B01上的损失对参数的梯度,cos(g1,g2)=(g1/∣g1∣)⋅(g2/∣g2∣)类一致性可以用于判断:对类别c1的样本集B01进行梯度下降是否也会减少类别c2所对应的样本集B02的损失
假设一个Epoch中有N个batch,那么Bs与Bt的批一致性分数定义如下:

批一致性可以通过评估一个批次的参数更新对另一个批次的影响,量化两个批次的学习一致性。更具体地说,Sbatch accd如果是正的,表示这两个批次处于相同的学习节奏下,每个批次更新的模型对它们都有好处
任意一个Epoch的梯度一致性最终定义为

ANALYSIS AND DISCUSSION
实验结果这里就不放了,简单说一下就是作者使用了TextFooler、BERT-Attack、TextBugger三种攻击手段,以PGD、FreeLB、TAVAT等方法为Baseline进行对比,结果表明使用Flooding-X效果很好
从下图可以看出,当梯度一致性指标从负数变为正数时,测试集损失也开始上升,说明梯度一致性这个指标可以很好的当作是过拟合的信号

个人总结
2020年提出的Flooding本身就是一个非常有意思的Trick,可惜原论文作者也苦于超参数b的选择,因此其应用不算广泛。ACL2022这篇论文提出了梯度一致性的概念,让模型自己感知什么时候该进行Flooding,避免了超参数的选择问题
REFERENCES