LeetCode 617. 合并二叉树

155 阅读2分钟

617. 合并二叉树

难度 简单

给你两棵二叉树: root1root2

想象一下,当你将其中一棵覆盖到另一棵之上时,两棵树上的一些节点将会重叠(而另一些不会)。你需要将这两棵树合并成一棵新二叉树。合并的规则是:如果两个节点重叠,那么将这两个节点的值相加作为合并后节点的新值;否则,不为 null 的节点将直接作为新二叉树的节点。

返回合并后的二叉树。

注意: 合并过程必须从两个树的根节点开始。

示例 1:

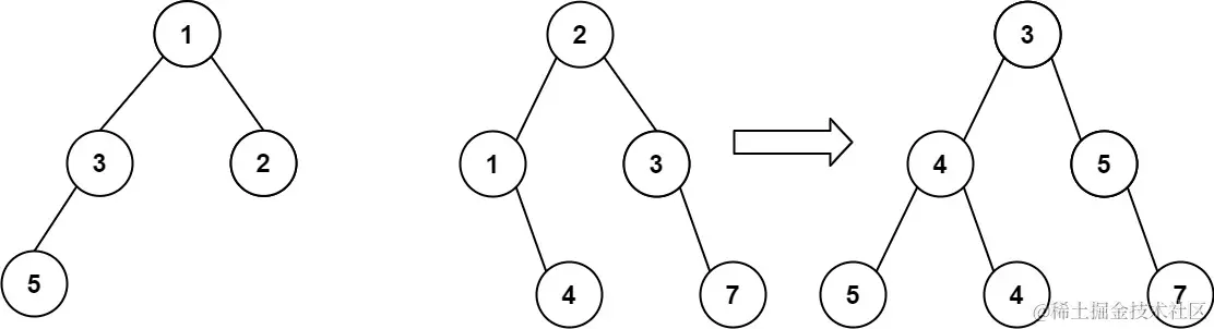
img

输入:root1 = [1,3,2,5], root2 = [2,1,3,null,4,null,7]
输出:[3,4,5,5,4,null,7]

示例 2:

输入:root1 = [1], root2 = [1,2]
输出:[2,2]

提示:

  • 两棵树中的节点数目在范围 [0, 2000]
  • -104 <= Node.val <= 104

题解

这是一道图论相关题目,说到底就是合并两个二叉树,可以用深搜或者广搜,为了快速解题,选择了深搜,因为代码比较少。那这里如何使用深搜呢,就是一个搜索树节点的过程;当其中一棵树为空,直接返回另外一棵树;当都不为空的时候,就新建一个节点,把两棵树的值相加赋值到新的节点。

这里顺便记录一下,刚开始想用广搜的,后面发现广搜如果遇到空节点,那么辅助队列的节点顺序就不对应完全二叉树的序号了。后面想了一下,加空节点就行了,不过广搜代码比较长,就不写了,不过没有深搜的递归调用占的空间复杂度高,这也是广搜的优点。

/**
 * Definition for a binary tree node.
 * public class TreeNode {
 *     int val;
 *     TreeNode left;
 *     TreeNode right;
 *     TreeNode() {}
 *     TreeNode(int val) { this.val = val; }
 *     TreeNode(int val, TreeNode left, TreeNode right) {
 *         this.val = val;
 *         this.left = left;
 *         this.right = right;
 *     }
 * }
 */
class Solution {
    public TreeNode mergeTrees(TreeNode root1, TreeNode root2) {
        return dfs(root1, root2);
    }
​
    public TreeNode dfs(TreeNode r1, TreeNode r2){
        if(r1 == null){
            return r2;
        }
        if(r2 == null){
            return r1;
        }
        TreeNode temp = new TreeNode(r1.val + r2.val);
        temp.left = dfs(r1.left, r2.left);
        temp.right = dfs(r1.right, r2.right);
        return temp;
    }
}