☆打卡算法☆LeetCode 94、二叉树的中序遍历 算法解析

1,047 阅读2分钟

这是我参与2022首次更文挑战的第17天,活动详情查看:2022首次更文挑战

推荐阅读

大家好,我是小魔龙,Unity3D软件工程师,VR、AR,虚拟仿真方向,不定时更新软件开发技巧,生活感悟,觉得有用记得一键三连哦。

一、题目

1、算法题目

“给定一个二叉树的根节点,返回中序遍历。”

题目链接:

来源:力扣(LeetCode)

链接:94. 二叉树的中序遍历 - 力扣(LeetCode) (leetcode-cn.com)

2、题目描述

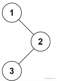
给定一个二叉树的根节点 root ,返回它的 中序 遍历。

image.png

示例 1:
输入: root = [1,null,2,3]
输出: [1,3,2]
示例 2:
输入: root = []
输出: []

二、解题

1、思路分析

首先,了解一下什么是二叉树的中序遍历,就是按照访问左子树→根节点→右子树的方式遍历这棵树,在访问左子树或右子树的时候我们按照同样的方式遍历,知道遍历整棵树。

遍历的过程就是一个递归的过程,因此,可以使用递归函数来模拟这一过程。

2、代码实现

代码参考:

class Solution {
    public List<Integer> inorderTraversal(TreeNode root) {
        List<Integer> res = new ArrayList<Integer>();
        inorder(root, res);
        return res;
    }

    public void inorder(TreeNode root, List<Integer> res) {
        if (root == null) {
            return;
        }
        inorder(root.left, res);
        res.add(root.val);
        inorder(root.right, res);
    }
}

image.png

3、时间复杂度

时间复杂度 : O(n)

其中n是二叉树节点的个数,遍历二叉树的每个节点都只会被访问一次。

空间复杂度: O(n)

空间复杂度取决于递归的栈深度,栈深度在二叉树为一条链的情况下会达到O(n)的级别。

三、总结

递归算法,需要注意的是递归的条件,以及递归的结束条件。

递归思路:先到根,再到左子树,然后右子树。每棵子树递归。