LeetCode 106. 从中序与后序遍历序列构造二叉树 【c++/java详细题解】

171 阅读1分钟

「这是我参与2022首次更文挑战的第20天,活动详情查看:2022首次更文挑战

1、题目

给定两个整数数组 inorderpostorder ,其中 inorder 是二叉树的中序遍历, postorder 是同一棵树的后序遍历,请你构造并返回这颗 二叉树 。

示例 1:

tree.jpg

输入:inorder = [9,3,15,20,7], postorder = [9,15,7,20,3]
输出:[3,9,20,null,null,15,7]

示例 2:

输入:inorder = [-1], postorder = [-1]
输出:[-1]

提示:

  • 1 <= inorder.length <= 3000
  • postorder.length == inorder.length
  • -3000 <= inorder[i], postorder[i] <= 3000
  • inorderpostorder 都由 不同 的值组成
  • postorder 中每一个值都在 inorder
  • inorder 保证是树的中序遍历
  • postorder 保证是树的后序遍历

2、思路

(递归) O(n)O(n)

给定两个整数数组inorderpostorder ,其中 inorder 是二叉树的中序遍历, postorder 是同一棵树的后序遍历,让我们返回这颗二叉树。

样例:

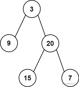
image-20220205235043369.png

如样例所示,inorder = [9,3,15,20,7], postorder = [9,15,7,20,3],我们可以构造出如上图所示的二叉树。

二叉树:

  • 二叉树中序遍历的顺序为:左根右;
  • 二叉树后序遍历的顺序为:左右根;

对于这道题目来讲,我们可以递归建立整棵二叉树:先创建根节点,然后递归创建左右子树,并让指针指向两棵子树。 image-20220205212748089.png

如上图所示,递归过程就是二叉树的建立过程。对二叉树的建立过程有了大致了解之后,接下来就是确定左右子树在中序和后序数组的边界。

如何确定子树的左右边界?

根据二叉树的性质,我们可以依次采取下述步骤:

  • 1、先利用后序遍历找根节点:后序遍历的最后一个数,就是根节点的值;

  • 2、在中序遍历中找到根节点的位置 k,则 k 左边是左子树的中序遍历,右边是右子树的中序遍历;

  • 3、假设il,ir对应子树中序遍历区间的左右端点, pl,pr对应子树后序遍历区间的左右端点。那么左子树的中序遍历的区间为

    [il, k - 1],右子树的中序遍历的区间为[k + 1, ir]

  • 4、由步骤3可知左子树中序遍历的长度为k - 1 - il + 1,由于一棵树的中序遍历和后序遍历的长度相等,因此后序遍历的长度也为k - 1 - il + 1。这样根据后序遍历的长度,我们可以推导出左子树后序遍历的区间为[pl, pl + k - 1 - il],右子树的后序遍历的区间为[pl + k - 1 - il + 1, pr - 1]

仅凭文字可能不太好理解上述推导过程,我们画张图来辅助理解:

image-20220205215752827.png

左右子树中序和后序遍历的边界确定是这道题最大的难点,理解了这点,这道题也就做完了一大半。

如何在中序遍历中对根节点快速定位?

一种简单的方法是直接扫描整个中序遍历的结果并找出根节点,但这样做的时间复杂度较高。我们可以考虑使用哈希表来帮助我们快速地定位根节点。对于哈希映射中的每个键值对,键表示一个元素(节点的值),值表示其在中序遍历中的出现位置。这样在中序遍历中查找根节点位置的操作,只需要 O(1)O(1) 的时间。

如图:

image-20220205221400983.png

具体过程如下:

  • 1、创建一个哈希表pos记录记录每个值在中序遍历中的位置。
  • 2、先利用后序遍历找根节点:后序遍历的最后一个数,就是根节点的值;
  • 3、确定左右子树的后序遍历和中序遍历,先递归创建出左右子树,然后创建根节点。
  • 4、最后将根节点的左右指针指向两棵子树。

时间复杂度分析: 查找根节点的位置需要O(1)O(1) 的时间,创建每个节点需要的时间是 O(1)O(1),因此总的时间复杂度是 O(n)O(n)

3、c++代码

/**
 * Definition for a binary tree node.
 * struct TreeNode {
 *     int val;
 *     TreeNode *left;
 *     TreeNode *right;
 *     TreeNode() : val(0), left(nullptr), right(nullptr) {}
 *     TreeNode(int x) : val(x), left(nullptr), right(nullptr) {}
 *     TreeNode(int x, TreeNode *left, TreeNode *right) : val(x), left(left), right(right) {}
 * };
 */
class Solution {
public:
    unordered_map<int, int> pos;
    TreeNode* buildTree(vector<int>& inorder, vector<int>& postorder) {
        int n = inorder.size();
        for(int i = 0; i < n; i++){
            pos[inorder[i]] = i;     //记录中序遍历的根节点位置
        }
        return dfs(inorder, postorder, 0, n - 1, 0, n - 1);
    }
    TreeNode* dfs(vector<int>& inorder, vector<int>& postorder,int il, int ir, int pl, int pr){
        if(il > ir) return nullptr;
        int k = pos[postorder[pr]];   //中序遍历根节点位置
        TreeNode* root = new TreeNode(postorder[pr]); //创建根节点
        root->left = dfs(inorder, postorder, il, k - 1, pl, pl + k - 1 - il);
        root->right = dfs(inorder, postorder, k + 1, ir, pl + k - 1 - il + 1, pr - 1);
        return root;
    }
};

4、Java代码

/**
 * Definition for a binary tree node.
 * public class TreeNode {
 *     int val;
 *     TreeNode left;
 *     TreeNode right;
 *     TreeNode() {}
 *     TreeNode(int val) { this.val = val; }
 *     TreeNode(int val, TreeNode left, TreeNode right) {
 *         this.val = val;
 *         this.left = left;
 *         this.right = right;
 *     }
 * }
 */
class Solution {
    private Map<Integer,Integer> pos = new HashMap<Integer,Integer>();
    public TreeNode buildTree(int[] inorder, int[] postorder) {
        int n = inorder.length;
        for(int i = 0; i < n; i++)
            pos.put(inorder[i], i);  //记录中序遍历的根节点位置
        return dfs( inorder, postorder, 0, n - 1, 0, n - 1);   
    }
     public TreeNode dfs(int[] inorder, int[] postorder, int il, int ir,int pl, int pr)
    {
        if(pl > pr ) return null;
        int k = pos.get(postorder[pr]);
        TreeNode root = new TreeNode(postorder[pr]);
        root.left  = dfs(inorder, postorder, il, k - 1, pl, pl + k - 1 - il);
        root.right = dfs(inorder, postorder, k + 1, ir, pl + k - 1 - il + 1, pr - 1);
        return root;     
    }
}