【数论】——组合数

387 阅读1分钟

【数论】——组合数

  • 公式:
Cab=a!b!(am)!C_{a}^{b} = \frac{a!}{b!*(a-m)!}

a,b的范围,以及n(询问次数)进行分类求解。

n在1e41e51e4-1e5,a,b在1e31e3

  • 由于,询问次数过多,而a,b范围很小,因此采用离线处理所有CabC_{a}^{b} 的方式进行求解。
  • 利用递推:
Cab=Ca1b1+Ca1bC_{a}^{b} = C_{a-1}^{b-1}+C_{a-1}^{b}
  • 代码
const int mod = 1e9 + 7;
int dp[N][N];
int solve_1()
{
    for (int i = 0; i < N; i++)
        for (int j = 0; j <= i; j++) {
            if (!j)
                dp[i][j] = 1;
            dp[i][j] = (dp[i - 1][j - 1] + dp[i - 1][j]) % mod;
        }
}

n在1e41e51e4-1e5,a,b在1e51e5

  • 由于,询问次数过多,同时a,b范围比较大,因此采用离线处理所有CabC_{a}^{b} 的方式进行求解会tle。
  • 但是可以通过离线处理所有a,b的阶乘来达到快速求解的目的,同时利用快速幂,求分母上的逆元
  • 代码
const int mod = 1e9 + 7;
int fact[N], infact[N];
int quickmi(int a, int k)
{
    long long res = 1;
    while (k) {
        if (k & 1) {
            res = (long long)res * a % mod;
        }
        a = (long long)a * a % mod;
        k >>= 1;
    }
    return res;
}
void solve_2()
{
    fact[0] = infact[0] = 1;
    for (int i = 1; i < N; i++) {
        fact[i] = (long long)fact[i - 1] * i % mod;
        infact[i] = (long long)infact[i - 1] * quickmi(i, mod - 2) % mod;
    }
}

n在100100以内,a,b在1e161e16+

运用lucas定理求解:(p为给定的模数)

CabCa mod pb mod p+Capap(mod p)C_{a}^{b} \equiv C_{a\ mod\ p}^{b\ mod\ p}+C_{\frac{a}{p}}^{\frac{a}{p}}\qquad (mod\ p)
  • 复杂度为:
O(logpn)O(log_{p}n)
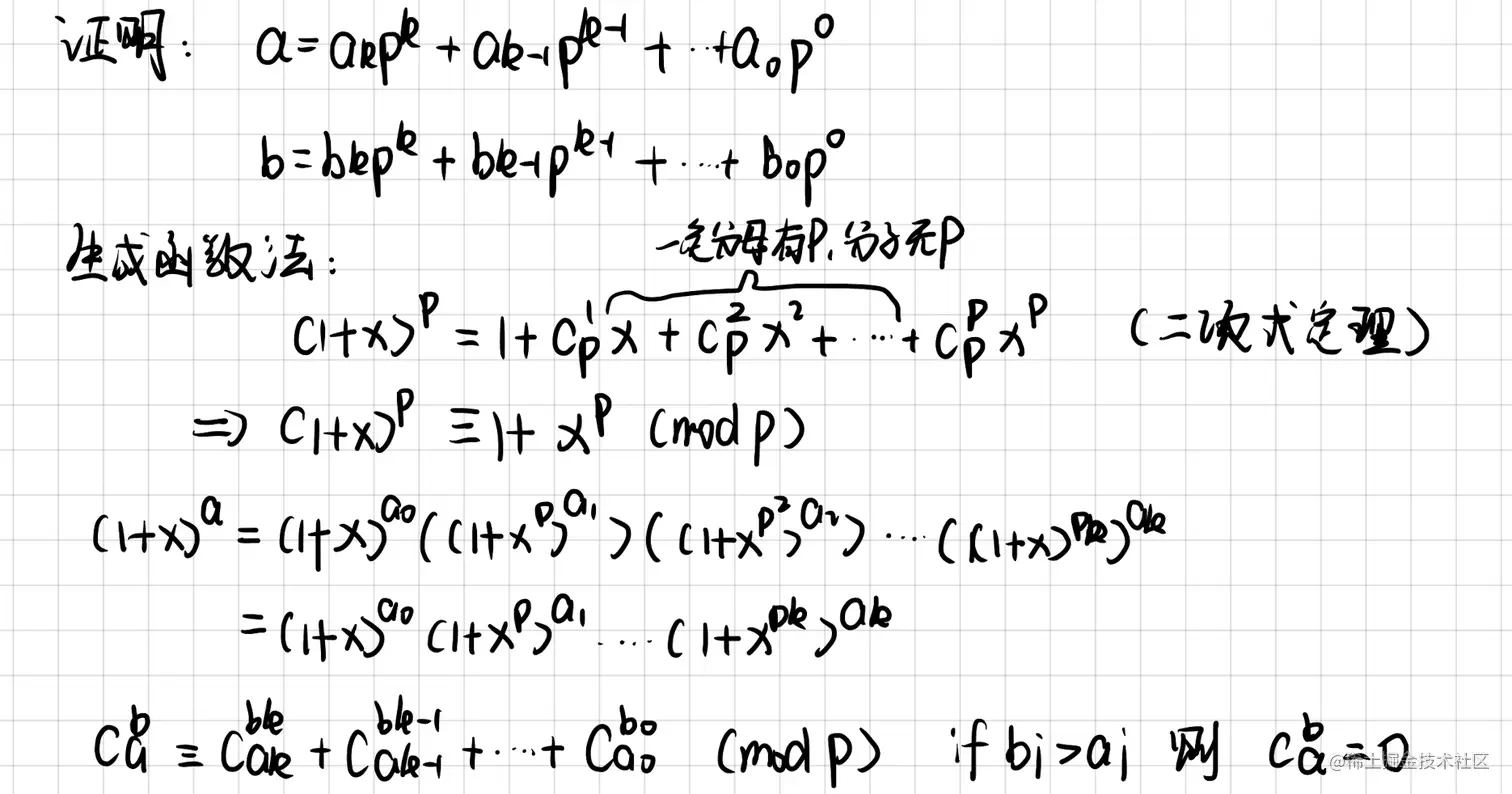
  • 证明

iShot2022-02-05 23.33.51.png

  • 代码
int quickmi(int a, int k, int p)
{
    int res = 1;
    while (k) {
        if (k & 1) {
            res = (long long)res * a % p;
        }
        a = (long long)a * a % p;
        k >>= 1;
    }
    return res;
}
int solve(int a, int b, int p)
{
    if (b > a)
        return 0;
    int res = 1;
    for (int i = 1, j = a; i <= b; i++, j--) {
        res = (long long)res * j % p;
        res = (long long)res * quickmi(i, p - 2, p) % p;
    }
    return res;
}
int lucas(long long a, long long b, int p)
{
    if (a < p && b < p)
        return solve(a, b, p);
    return (long long)solve(a % p, b % p, p) * lucas(a / p, b / p, p) % p;
}

没有模数的高精度写法

  • 思路:

iShot2022-02-05 23.43.21.png

  • 代码
int primes[N], cnt;
int sum[N];
bool st[N];

void get_primes(int n)
{
    for (int i = 2; i <= n; i++) {
        if (!st[i])
            primes[cnt++] = i;
        for (int j = 0; primes[j] <= n / i; j++) {
            st[primes[j] * i] = true;
            if (i % primes[j] == 0)
                break;
        }
    }
}

int get(int n, int p)
{
    int res = 0;
    while (n) {
        res += n / p;
        n /= p;
    }
    return res;
}

vector<int> mul(vector<int> a, int b)
{
    vector<int> c;
    int t = 0;
    for (int i = 0; i < a.size(); i++) {
        t += a[i] * b;
        c.push_back(t % 10);
        t /= 10;
    }
    while (t) {
        c.push_back(t % 10);
        t /= 10;
    }
    return c;
}

int main()
{
    int a, b;
    cin >> a >> b;

    get_primes(a);

    for (int i = 0; i < cnt; i++) {
        int p = primes[i];
        sum[i] = get(a, p) - get(a - b, p) - get(b, p);
    }

    vector<int> res;
    res.push_back(1);

    for (int i = 0; i < cnt; i++)
        for (int j = 0; j < sum[i]; j++)
            res = mul(res, primes[i]);

    for (int i = res.size() - 1; i >= 0; i--)
        printf("%d", res[i]);
    puts("");

    return 0;
}