互联网是如何工作的

185 阅读2分钟

互联网是如何工作的

image.png

简单的说,如同词面上的意思,许多的网,那么这些网如何连接,以及由什么连接 我们先从物理上的连接说起,首先我们肯定要有设备,不然再多的网也无处接入。

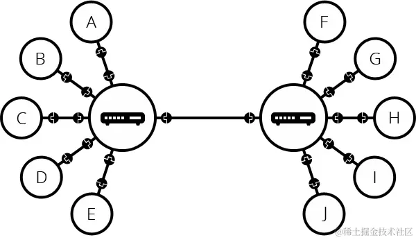
首当其冲那就是我们一直使用的电脑计算机了,我们都知道一个电脑要给另一个电脑发送消息,那么就要有网线接入,这根线连接了其他电脑,使得我们才可以传输数据,但问题就来了,一旦多台电脑呢?是的将会有无数的线,而每台电脑也要接入无数的线。

路由

image.png

这时候路由就可以登场,我们都知道家里有宽带网络,但是线是有限的,于是大多数时候我们是使用路由器来连接,一根根无线的线,使得我们的设备连接路由,再由路由连接。这样我们就解决了当前的问题,多台电脑时如何工作,我们将多台电脑连接路由,再由路由连接其他地方的路由,而其他地方的路由连接他所在的多台路由即可,这样就不需要那么多接口和线了,每台电脑仅需一根线就可以获取网路。

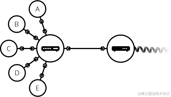
但是,每个地方他们都有不同的网络,我们如何选择,才能连接的更好,更方便呢,总所周知,电话!是每个家庭必备的,也是已经存在的网,由于电脑和电话是有区别的,这时就有新设备登场。

modem(猫)

image.png

也就是我们常说的猫了,作用就是调制我们的设备与电话之间的连接,他会调制我们的网络信息成电话可以处理的信息,反之亦然。

前面我们提到路由器,常见的就是家里的路由器了,而文中我们提到的路由器,是由互联网服务提供商(ISP)管理的特殊路由器,他们也会连接其他ISP

image.png

那么我们的电脑只连接到了路由,繁杂的线简便了,但我们如何准确找到其他电脑。

ip地址

每台电脑都会有ip地址,这个地址会变化,而且是一串数字难以记住,所以也就有别名

域名

ip地址的别名,例如xxx.com,我们很容易就会找到通过域名,其实际就是通过ip地址来找到其他电脑。

到此我们先简单了解互联网,而web网络则是其下的一种服务。互联网是基础设施。