19.删除链表的倒数第N个节点

97 阅读1分钟

[19. 删除链表的倒数第 N 个结点]

「这是我参与2022首次更文挑战的第19天,活动详情查看:2022首次更文挑战」。

题目描述

给你一个链表的头节点 head ,判断链表中是否有环。

如果链表中有某个节点,可以通过连续跟踪 next 指针再次到达,则链表中存在环。 为了表示给定链表中的环,评测系统内部使用整数 pos 来表示链表尾连接到链表中的位置(索引从 0 开始)。注意:pos 不作为参数进行传递 。仅仅是为了标识链表的实际情况。

如果链表中存在环 ,则返回 true 。 否则,返回 false

示例

示例1 :

image.png

输入: head = [3,2,0,-4], pos = 1
输出: true
解释: 链表中有一个环,其尾部连接到第二个节点。

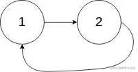
示例 2:

image.png

输入: head = [1,2], pos = 0
输出: true
解释: 链表中有一个环,其尾部连接到第一个节点。

示例 3:

image.png

输入: head = [1], pos = -1
输出: false
解释: 链表中没有环。

提示:

  • 链表中结点的数目为 sz
  • 1 <= sz <= 30
  • 0 <= Node.val <= 100
  • 1 <= n <= sz

进阶: 你能尝试使用一趟扫描实现吗?

思路

这道题又是双指针在链表上的经典使用。能想到用双指针,这道题就已经解决了一大半,之前我们说到,可以从双指针需要满足什么要求,才能符合条件,起点,速度等。题目中要倒数第n个节点,我们一次遍历必然会到达最后一个节点,那么,我们同速,两个指针一前一后,之间相差的距离为n个节点,当后指针指向最后一个节点时,前指针刚好指向倒数第n+1个,删除前指针后的那个节点就可以了。

代码实现

/**
 * Definition for singly-linked list.
 * struct ListNode {
 *     int val;
 *     ListNode *next;
 *     ListNode() : val(0), next(nullptr) {}
 *     ListNode(int x) : val(x), next(nullptr) {}
 *     ListNode(int x, ListNode *next) : val(x), next(next) {}
 * };
 */
class Solution {
public:
    ListNode* removeNthFromEnd(ListNode* head, int n) {
        ListNode *after=head,*before=head;
        while(n--)
            after=after->next;           //后指针到达起点
        if(after==nullptr) return head->next;         //不存在要删除的节点返回
        while(after!=nullptr&&after->next!=nullptr){        //同速移动至末尾
            after=after->next;
            before=before->next;
        }
        before->next=before->next->next;        //删除
        return head;
    }
};

在代码中,针对了空指针等进行了额外的判断,考虑了没有倒数第N个节点的情况。

总结

在链表上使用双指针,最最重要的一点是要挖掘出双指针的指向需要满足什么样的条件,才能符合我的要求。这道题针对了双指针起点进行了讨论。