【每日算法】力扣701. 二叉搜索树中的插入操作

192 阅读2分钟

「这是我参与2022首次更文挑战的第17天,活动详情查看:2022首次更文挑战」。

描述

给定二叉搜索树(BST)的根节点和要插入树中的值,将值插入二叉搜索树。 返回插入后二叉搜索树的根节点。 输入数据 保证 ,新值和原始二叉搜索树中的任意节点值都不同。

注意,可能存在多种有效的插入方式,只要树在插入后仍保持为二叉搜索树即可。 你可以返回任意有效的结果。

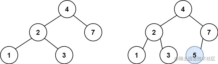
示例 1:

image.png

输入:root = [4,2,7,1,3], val = 5

输出:[4,2,7,1,3,5]

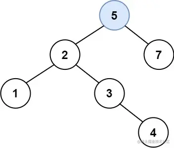
解释:另一个满足题目要求可以通过的树是:

image.png

示例 2:

输入:root = [40,20,60,10,30,50,70], val = 25

输出:[40,20,60,10,30,50,70,null,null,25]

示例 3:

输入:root = [4,2,7,1,3,null,null,null,null,null,null], val = 5

输出:[4,2,7,1,3,5]  

 

提示:

给定的树上的节点数介于 0 和 10^4 之间

每个节点都有一个唯一整数值,取值范围从 0 到 10^8

-10^8 <= val <= 10^8

新值和原始二叉搜索树中的任意节点值都不同

通过次数88,528提交次数122,695

做题

先来回顾一下二叉搜索树,二叉搜索树就是把左子节点的值小于根节点的值,右子节点的值大于根节点的值(也可以反过来),按照这个规律组成整一棵二叉树。

那我们想要给一棵搜索二叉树插入一个值,那就需要判断当前的值是否大于当前节点的值,小于就继续去判断是否大于左子节点的值,大于就继续去判断是否大于右子节点值,一直重复,直到到达了叶子节点,然后再判断值的大小,看看要放在叶子节点的左边还是右边。

public TreeNode insertIntoBST(TreeNode root, int val) {
        TreeNode newNode = new TreeNode(val);
        if(root == null){
            return newNode;
        }
        TreeNode node = root;
        while(node!=null){
            if(node.val >= val){
                if(node.left == null){
                    node.left = newNode;
                    break;
                }
                node = node.left;
            }else{
                if(node.right == null){
                    node.right = newNode;
                    break;
                }
                node = node.right;
            }
        }
        return root;
    }

image.png

最后

一开始我还以为这道题很难,会存在节点交换位子的情况,结果没有哈哈哈,个人感觉难度应该是简单才对。

今天就到这里了。

这里是程序员徐小白,【每日算法】是我新开的一个专栏,在这里主要记录我学习算法的日常,也希望我能够坚持每日学习算法,不知道这样的文章风格您是否喜欢,不要吝啬您免费的赞,您的点赞、收藏以及评论都是我下班后坚持更文的动力。