☆打卡算法☆LeetCode 92、反转链表 II 算法解析

161 阅读2分钟

这是我参与2022首次更文挑战的第15天,活动详情查看:2022首次更文挑战

推荐阅读

大家好,我是小魔龙,Unity3D软件工程师,VR、AR,虚拟仿真方向,不定时更新软件开发技巧,生活感悟,觉得有用记得一键三连哦。

一、题目

1、算法题目

“给定单链表的头指针和两个整数left和right,反转从left到right的链表节点,返回反转后的链表。”

题目链接:

来源:力扣(LeetCode)

链接:92. 反转链表 II - 力扣(LeetCode) (leetcode-cn.com)

2、题目描述

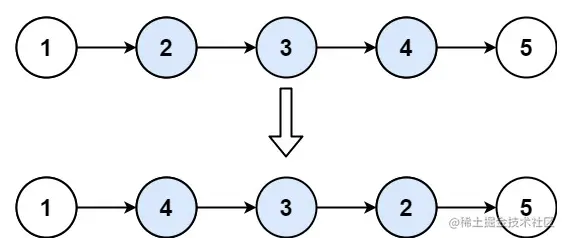
给你单链表的头指针 head 和两个整数 left 和 right ,其中 left <= right 。请你反转从位置 left 到位置 right 的链表节点,返回 反转后的链表 。

image.png

示例 1:
输入: head = [1,2,3,4,5], left = 2, right = 4
输出: [1,4,3,2,5]
示例 2:
输入: head = [5], left = 1, right = 1
输出: [5]

二、解题

1、思路分析

这道题主要考验对链表的操作能力,在操作链表的时候通常修改节点的值,只能修改节点的指向。

这道题主要就是找到left和right对应的节点位置,然后将这个位置进行反转。

2、代码实现

代码参考:

class Solution {
    public ListNode reverseBetween(ListNode head, int left, int right) {
        // 设置 dummyNode 是这一类问题的一般做法
        ListNode dummyNode = new ListNode(-1);
        dummyNode.next = head;
        ListNode pre = dummyNode;
        for (int i = 0; i < left - 1; i++) {
            pre = pre.next;
        }
        ListNode cur = pre.next;
        ListNode next;
        for (int i = 0; i < right - left; i++) {
            next = cur.next;
            cur.next = next.next;
            next.next = pre.next;
            pre.next = next;
        }
        return dummyNode.next;
    }
}

image.png

3、时间复杂度

时间复杂度 : O(N)

其中N是链表的总节点数。

空间复杂度: O(1)

只需要常量个变量。

三、总结

确定left和right的位置,使用指针指向两个位置。

将指针移动到第一个要反转的节点前面,将第二个指针移动到第一个要反转的节点的位置上。

删除第一个指针后面的元素,添加到第二个指针后面,重复步骤,即可得到正确答案。