「前端刷题」107. 二叉树的层序遍历 II

70 阅读1分钟

「这是我参与2022首次更文挑战的第15天,活动详情查看:2022首次更文挑战」。

题目

链接:leetcode-cn.com/problems/bi… 给你二叉树的根节点 root ,返回其节点值 自底向上的层序遍历 。 (即按从叶子节点所在层到根节点所在的层,逐层从左向右遍历)

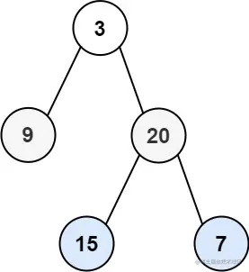
示例 1:

**输入:**root = [3,9,20,null,null,15,7] 输出:[[15,7],[9,20],[3]]

示例 2:

**输入:**root = [1] 输出:[[1]]

示例 3:

**输入:**root = [] 输出:[]

提示:

  • 树中节点数目在范围 [0, 2000]
  • -1000 <= Node.val <= 1000

思路

BFS框架

// 计算从起点 start 到终点 target 的最近距离
int BFS(Node start, Node target) {
    Queue<Node> q; // 核心数据结构
    Set<Node> visited; // 避免走回头路

    q.offer(start); // 将起点加入队列
    visited.add(start);
    int step = 0; // 记录扩散的步数

    while (q not empty) {
        int sz = q.size();
        /* 将当前队列中的所有节点向四周扩散 */
        for (int i = 0; i < sz; i++) {
            Node cur = q.poll();
            /* 划重点:这里判断是否到达终点 */
            if (cur is target)
                return step;
            /* 将 cur 的相邻节点加入队列 */
            for (Node x : cur.adj())
                if (x not in visited) {
                    q.offer(x);
                    visited.add(x);
                }
        }
        /* 划重点:更新步数在这里 */
        step++;
    }
}

代码

/**
 * Definition for a binary tree node.
 * function TreeNode(val, left, right) {
 *     this.val = (val===undefined ? 0 : val)
 *     this.left = (left===undefined ? null : left)
 *     this.right = (right===undefined ? null : right)
 * }
 */
/**
 * @param {TreeNode} root
 * @return {number[][]}
 */
var levelOrderBottom = function(root) {
    if(!root){
    return []
  }
  let queue = []
  let level = []
  queue.push(root) // 开始搜索
  while(queue.length){
    let size = queue.length
    let curLevel = []
    for(let i=0;i<size;i++){
      let cur = queue.shift()
      curLevel.push(cur.val)
      // ! 如何判断终点
      // 这里不需要终点 因为我们要遍历整颗树  注意BFS 没有用递归  终点不是递归的base case
      if(cur.left){
        queue.push(cur.left)
      }
      if(cur.right){
        queue.push(cur.right)
      }
    }
    level.unshift(curLevel)
  }
  return level
};

思路2

1.用数组保存当前层节点
2.边遍历数组,边保存下一层节点
实现:

用队列Q保存当前层节点
遍历当前队列Q的长度curLen,边遍历边把下一层节点添加到队列Q中
当curLen 遍历完毕时,设置下一层遍历长度

代码

/**
 * Definition for a binary tree node.
 * function TreeNode(val, left, right) {
 *     this.val = (val===undefined ? 0 : val)
 *     this.left = (left===undefined ? null : left)
 *     this.right = (right===undefined ? null : right)
 * }
 */
/**
 * @param {TreeNode} root
 * @return {number[][]}
 */

var levelOrderBottom = function(root) {
    if(!root) return []
    let queue = [root]
    let i = queue.length
    let c = []
    let result = []

    while(i>0){
        let cur = queue.shift()
        c.push(cur.val)
        if(cur.left) queue.push(cur.left)
        if(cur.right) queue.push(cur.right)
        i--
        if(i===0){
            result.push(c)
            c = []
            i = queue.length
        }
    }
    return result.reverse()
};