「前端刷题」106. 从中序与后序遍历序列构造二叉树

88 阅读2分钟

「这是我参与2022首次更文挑战的第14天,活动详情查看:2022首次更文挑战」。

题目

链接:leetcode-cn.com/problems/co… 给定两个整数数组 inorderpostorder ,其中 inorder 是二叉树的中序遍历, postorder 是同一棵树的后序遍历,请你构造并返回这颗 二叉树 。

示例 1:

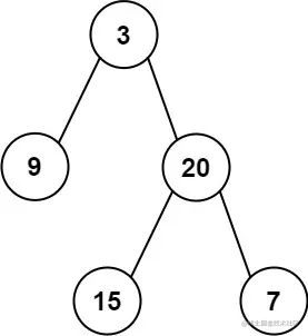
**输入:**inorder = [9,3,15,20,7], postorder = [9,15,7,20,3] 输出:[3,9,20,null,null,15,7]

示例 2:

**输入:**inorder = [-1], postorder = [-1] 输出:[-1]

提示:

  • 1 <= inorder.length <= 3000
  • postorder.length == inorder.length
  • -3000 <= inorder[i], postorder[i] <= 3000
  • inorder 和 postorder 都由 不同 的值组成
  • postorder 中每一个值都在 inorder 中
  • inorder 保证是树的中序遍历
  • postorder 保证是树的后序遍历

思路1, 递归

/**
 * Definition for a binary tree node.
 * function TreeNode(val) {
 *     this.val = val;
 *     this.left = this.right = null;
 * }
 */
/**
 * @param {number[]} inorder
 * @param {number[]} postorder
 * @return {TreeNode}
 */
var buildTree = function(inorder, postorder) {
    if(!inorder.length) return null
    let n = postorder.length
    let tmp = postorder[n-1],mid = inorder.indexOf(tmp)
    let root = new TreeNode(tmp)
    root.left = buildTree(inorder.slice(0,mid),postorder.slice(0,mid))
    root.right = buildTree(inorder.slice(mid + 1),postorder.slice(mid,n-1))
    return root
};

思路2,递归简便版

/**
 * Definition for a binary tree node.
 * function TreeNode(val) {
 *     this.val = val;
 *     this.left = this.right = null;
 * }
 */
/**
 * @param {number[]} inorder
 * @param {number[]} postorder
 * @return {TreeNode}
 */
var buildTree = function(inorder, postorder) {
    let build = (inorder) => {
        if(!inorder.length) return null
        let tmp = postorder.pop(),mid = inorder.indexOf(tmp)
        let root = new TreeNode(tmp)
        root.right = build(inorder.slice(mid + 1))
        root.left = build(inorder.slice(0,mid))
        return root
    }
    return build(inorder)
};

思路3,参考解法

/**
 * Definition for a binary tree node.
 * function TreeNode(val) {
 *     this.val = val;
 *     this.left = this.right = null;
 * }
 */
/**
 * @param {number[]} inorder
 * @param {number[]} postorder
 * @return {TreeNode}
 */
var buildTree = function(inorder, postorder) {
    let p = i = postorder.length - 1;
    let build = (stop) => {
        if(inorder[i] != stop) {
            let root = new TreeNode(postorder[p--])
            root.right = build(root.val)
            i--
            root.left = build(stop)
            return root
        }
        return null
    }
    return build()
};

思路4

找出根节点
后序遍历的最后一个节点就是根节点
在中序遍历中是:左根右的方式遍历的,因此根节点左侧是左树,右侧是右树

/**
 * Definition for a binary tree node.
 * function TreeNode(val, left, right) {
 *     this.val = (val===undefined ? 0 : val)
 *     this.left = (left===undefined ? null : left)
 *     this.right = (right===undefined ? null : right)
 * }
 */
/**
 * @param {number[]} inorder
 * @param {number[]} postorder
 * @return {TreeNode}
 */
var buildTree = function (inorder, postorder) {
    // 判断临界情况,如果两个参数都为空则节点为 null
    if (!inorder.length || !postorder.length) return null
    // 创建一个根节点开始遍历,后序遍历的最后一个元素是根节点
    let node = new TreeNode(postorder[postorder.length - 1])
    // 在中序遍历中找到这个节点所在的位置,左侧左树,右侧右树
    let index = inorder.indexOf(postorder.pop())
    // 划分 inorder,postorder 数组
    // 左树传入中序遍历 index 左侧的节点,也就是左树的中序遍历结果
    // 同时后序遍历的结果也需要发生改变,因为根节点位置左侧就是左树
    // 所以对应的后序遍历数组中,同样通过 index 来拆分
    node.left = buildTree(inorder.slice(0, index), postorder.slice(0, index))
    node.right = buildTree(inorder.slice(index + 1), postorder.slice(index))
    return node
};