2022跟着leedcode学数据结构--第16天

101 阅读2分钟

「这是我参与2022首次更文挑战的第16天,活动详情查看:2022首次更文挑战

image.png

[K 个一组翻转链表]

给你一个链表,每 k 个节点一组进行翻转,请你返回翻转后的链表。

k 是一个正整数,它的值小于或等于链表的长度。

如果节点总数不是 k 的整数倍,那么请将最后剩余的节点保持原有顺序。

进阶:

你可以设计一个只使用常数额外空间的算法来解决此问题吗? 你不能只是单纯的改变节点内部的值,而是需要实际进行节点交换。  

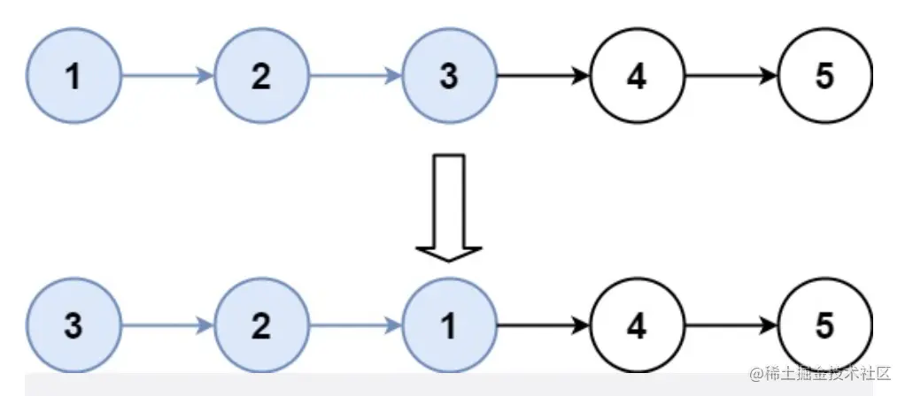
示例 1:

image.png

输入:head = [1,2,3,4,5], k = 2 输出:[2,1,4,3,5] 示例 2:

image.png

输入:head = [1,2,3,4,5], k = 3 输出:[3,2,1,4,5] 示例 3:

输入:head = [1,2,3,4,5], k = 1 输出:[1,2,3,4,5] 示例 4:

输入:head = [1], k = 1 输出:[1] 提示:

列表中节点的数量在范围 sz 内 1 <= sz <= 5000 0 <= Node.val <= 1000 1 <= k <= sz

解题思路:

  • 本题难度为 困难 但是思路很清晰 相对比较好解
  • 递归处理,实际计算和滑动窗口一致,创建一个以k为长度的窗口,然后滑动,如果长度小于k则不动,否则就进行翻转操作。
# Definition for singly-linked list.
# class ListNode:
#     def __init__(self, val=0, next=None):
#         self.val = val
#         self.next = next
class Solution:
    def reverseKGroup(self, head: ListNode, k: int) -> ListNode:
        slow = fast = head 
        for i in range(k): 
            if not fast:return head
            fast = fast.next 

        def reverse(slow,fast): 
            i,j = None,slow
            while j != fast:
                t = j.next
                j.next = i
                i,j = j,t
            return i
        
        
        n = reverse(slow,fast) 
        slow.next = self.reverseKGroup(fast,k) 
        return n

执行结果:

image.png

[重排链表]

给定一个单链表 L 的头节点 head ,单链表 L 表示为:

L0 → L1 → … → Ln - 1 → Ln 请将其重新排列后变为:

L0 → Ln → L1 → Ln - 1 → L2 → Ln - 2 → … 不能只是单纯的改变节点内部的值,而是需要实际的进行节点交换。

 

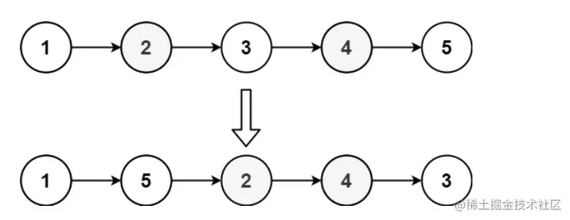
示例 1:

image.png

输入:head = [1,2,3,4] 输出:[1,4,2,3] 示例 2:

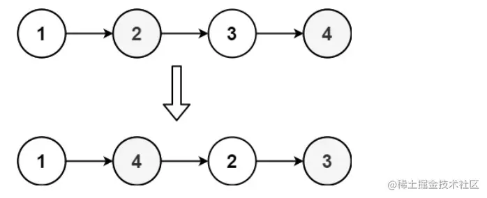
image.png

输入:head = [1,2,3,4,5] 输出:[1,5,2,4,3]  

提示:

链表的长度范围为 [1, 5 * 104] 1 <= node.val <= 1000

解题思路: 1.先判断特殊情况,head为空直接返回 2.用栈弹出的方法,如果没有就进行弹出操作。

# Definition for singly-linked list.
# class ListNode:
#     def __init__(self, val=0, next=None):
#         self.val = val
#         self.next = next
class Solution:
    def reorderList(self, head: ListNode) -> None:
        """
        Do not return anything, modify head in-place instead.
        """
        if not head:
            return head
        tmp = []
        while head:
            tmp.append(head)
            head = head.next
        res = ListNode(-1)
        while tmp:
            if len(tmp)>=2:
                res.next = tmp.pop(0)
                res.next.next = tmp.pop(-1)
                res = res.next.next
            else:
                res.next = tmp.pop(0)
                res = res.next
        res.next= None
        return res

执行结果:

image.png