算法思路汇总:450. 删除二叉搜索树中的节点

443 阅读2分钟

450. 删除二叉搜索树中的节点

「这是我参与2022首次更文挑战的第16天,活动详情查看:2022首次更文挑战」。

难度:mid 来源:力扣(LeetCode)

题目内容:

给定一个二叉搜索树的根节点 root 和一个值 key,删除二叉搜索树中的 key 对应的节点,并保证二叉搜索树的性质不变。返回二叉搜索树(有可能被更新)的根节点的引用。

一般来说,删除节点可分为两个步骤:

首先找到需要删除的节点; 如果找到了,删除它。

示例 1:

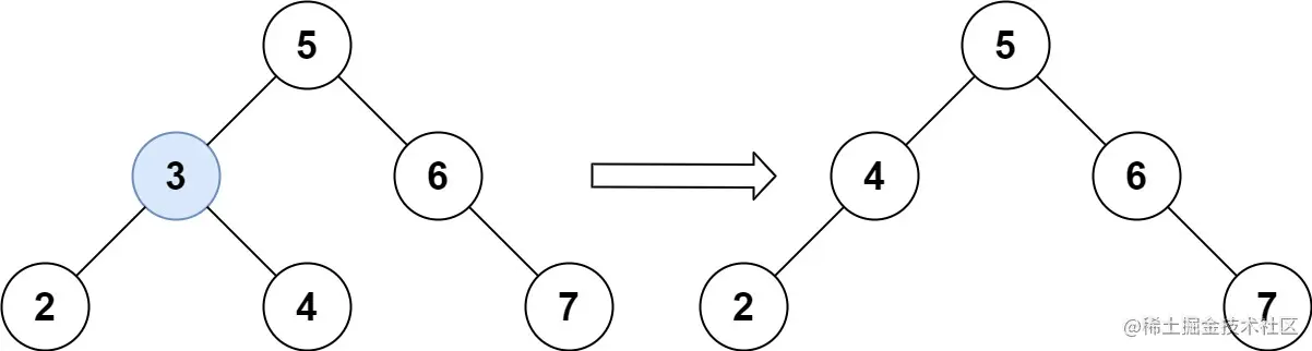
输入:root = [5,3,6,2,4,null,7], key = 3 输出:[5,4,6,2,null,null,7]

解释:给定需要删除的节点值是 3,所以我们首先找到 3 这个节点,然后删除它。 一个正确的答案是 [5,4,6,2,null,null,7], 如下图所示。 另一个正确答案是 [5,2,6,null,4,null,7]。

示例 2:

输入: root = [5,3,6,2,4,null,7], key = 0 输出: [5,3,6,2,4,null,7] 解释: 二叉树不包含值为 0 的节点 示例 3:

输入: root = [], key = 0 输出: []

提示: 节点数的范围[0, 104]. -105 <= Node.val <= 105 节点值唯一 root是合法的二叉搜索树 -105 <= key <= 105

思路:

题目中的树为二叉搜索树,其中性质为:

  1. 左子树中所有的值都小于根节点
  2. 右子树所有的值都大于根节点
  3. 中序遍历结果为递增序列
  4. 它的左、右子树也分别为二叉排序树

根据上述的条件,可以得出,当root.val > key则往左子树遍历,root.val < key则往右子树遍历。

if(root.val < key) root.right = deleteNode(root.right,key);
else if(root.val > key) root.left= deleteNode(root.left,key);

当root.val == key的时候,表示找到了需要删除的节点值。

由此有四种情况需要考虑:

  1. 删除节点左右子树不存在的情况(叶子节点)

    直接删除节点--返回null

    if(root.left == null && root.right == null) return null;
    
  2. 删除节点的左子树不存在的情况

    直接返回右子树

    if(root.left == null && root.right != null) return root.right;
    
  3. 删除节点的右子树不存在的情况

    if(root.left != null && root.right == null) return root.left;
    
  4. 删除节点的左右子树都存在的情况

    这个情况有点麻烦

    //左右子树都不为空,以中序节点的后继为操作对象
    TreeNode temp = root.right;
    while(temp.left != null){
        temp = temp.left;
    }
    root.val = temp.val;
    root.right = deleteNode(root.right,temp.val);
    

    image-20220202113503078

    删除节点的操作:

    image-20220202113531660

完整代码:

class Solution {
    public TreeNode deleteNode(TreeNode root, int key) {
        root = delete(root,key);
        return root;
        
    }
    TreeNode delete(TreeNode root,int key){
        if(root == null) return null;
        if(root.val == key){
            //目标节点的左右子树都为空
            if(root.left == null && root.right == null) return null;
            else if(root.left == null && root.right != null) return root.right;
            else if(root.left != null && root.right == null) return root.left;
            else{
                //左右子树都不为空
                TreeNode temp = root.right;
                //找到temp子树中最左边的节点,把左子树接上去
                while(temp.left != null){
                    temp = temp.left;
                }
                root.val = temp.val;
                root.right = deleteNode(root.right,temp.val);
            }
        }
        if(root.val < key) root.right = deleteNode(root.right,key);
        else if(root.val > key) root.left= deleteNode(root.left,key);
        return root;
    }
}