[路飞]_LeetCode_冗余连接

229 阅读1分钟

「这是我参与2022首次更文挑战的第16天,活动详情查看:2022首次更文挑战

题目

树可以看成是一个连通且 无环 的 无向 图。

给定往一棵 n 个节点 (节点值 1~n) 的树中添加一条边后的图。添加的边的两个顶点包含在 1 到 n 中间,且这条附加的边不属于树中已存在的边。图的信息记录于长度为 n 的二维数组 edges ,edges[i] = [ai, bi] 表示图中在 ai 和 bi 之间存在一条边。

请找出一条可以删去的边,删除后可使得剩余部分是一个有着 n 个节点的树。如果有多个答案,则返回数组 edges 中最后出现的边。

 

示例 1:

image.png

输入: edges = [[1,2], [1,3], [2,3]]
输出: [2,3]

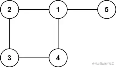
示例 2:

image.png

输入: edges = [[1,2], [2,3], [3,4], [1,4], [1,5]]
输出: [1,4]

  提示:

n == edges.length
3 <= n <= 1000
edges[i].length == 2
1 <= ai < bi <= edges.length
ai != bi
edges 中无重复元素
给定的图是连通的

来源:力扣(LeetCode)leetcode-cn.com/problems/re…

解题思路

树的每条边都是连通的,那么多的这条边不影响连通性,因为这条边的两个节点本身就在树中。

那么我们可以把这些边合并到并查集中,在合并前先检查一下这条边是否已经存在于并查集中,如果存在则说明这条边是多余的,返回这条边就可以了。

示例1中的 1 连接 2,1 连接 3,当 2 再连接 3 时检查发现 2 和 3 已经在一个集合里面,所以 2 和 3 是已有连接,这条就是多余的边。

代码实现

var findRedundantConnection = function (edges) {
    const u = new UnionSet(edges.length)

    //扫描所有边,合并到并查集中
    for (const [a, b] of edges) {
        //合并前先判断是否已经存在连接关系,如果已经存在则说明是多余的边
        if (u.get(a) === u.get(b)) return [a, b]
        
        //合并边到并查集中
        u.merge(a, b)
    }
};

class UnionSet {
    constructor(n) {
        //初始化父节点数组,每个节点的父节点默认为自己
        this.pa = new Array(n + 1).fill(0).map((item, index) => index)

        //初始化每棵树的节点数
        this.size = new Array(n + 1).fill(1)
    }

    get(x) {
        //查找x的父节点,并且完成路径优化
        //优化后,x的父节点指向所在树的根节点
        return this.pa[x] = this.pa[x] === x ? x : this.get(this.pa[x])
    }

    merge(a, b) {
        //找到a的根节点
        const ra = this.get(a)
        //找到b的根节点
        const rb = this.get(b)

        //如果a和b在一个集合中则不需要合并
        if (ra === rb) return

        //把节点总数小的集合合并到节点总数多的集合里
        //更新节点总数多的集合为 a和b之和
        if (this.size[ra] < this.size[rb]) {
            this.pa[ra] = rb
            this.size[rb] += this.size[ra]
        } else {
            this.pa[rb] = ra
            this.size[ra] += this.size[rb]
        }
    }
}

如有错误欢迎指出,欢迎一起讨论!