2022跟着leedcode学数据结构--第15天

77 阅读2分钟

「这是我参与2022首次更文挑战的第15天,活动详情查看:2022首次更文挑战

image.png

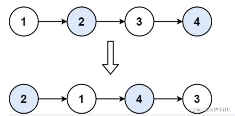
[两两交换链表中的节点]

给你一个链表,两两交换其中相邻的节点,并返回交换后链表的头节点。你必须在不修改节点内部的值的情况下完成本题(即,只能进行节点交换)。

示例 1:

image.png

输入:head = [1,2,3,4] 输出:[2,1,4,3] 示例 2:

输入:head = [] 输出:[] 示例 3:

输入:head = [1] 输出:[1]  

提示:

链表中节点的数目在范围 [0, 100] 内 0 <= Node.val <= 100

解题思路:

  • 递归交互
  • swapPairs()返回的结果为交换后的新链表
  • 递归交换相邻的两个节点
# Definition for singly-linked list.
# class ListNode:
#     def __init__(self, val=0, next=None):
#         self.val = val
#         self.next = next
class Solution:
    def swapPairs(self, head: ListNode) -> ListNode:
        if head and head.next:
            head.next.next,head.next,head= head,self.swapPairs(head.next.next),head.next
        return head

执行结果:

image.png

[设计链表]

设计链表的实现。您可以选择使用单链表或双链表。单链表中的节点应该具有两个属性:val 和 next。val 是当前节点的值,next 是指向下一个节点的指针/引用。如果要使用双向链表,则还需要一个属性 prev 以指示链表中的上一个节点。假设链表中的所有节点都是 0-index 的。

在链表类中实现这些功能:

get(index):获取链表中第 index 个节点的值。如果索引无效,则返回-1。 addAtHead(val):在链表的第一个元素之前添加一个值为 val 的节点。插入后,新节点将成为链表的第一个节点。 addAtTail(val):将值为 val 的节点追加到链表的最后一个元素。 addAtIndex(index,val):在链表中的第 index 个节点之前添加值为 val  的节点。如果 index 等于链表的长度,则该节点将附加到链表的末尾。如果 index 大于链表长度,则不会插入节点。如果index小于0,则在头部插入节点。 deleteAtIndex(index):如果索引 index 有效,则删除链表中的第 index 个节点。  

示例:

MyLinkedList linkedList = new MyLinkedList(); linkedList.addAtHead(1); linkedList.addAtTail(3); linkedList.addAtIndex(1,2); //链表变为1-> 2-> 3 linkedList.get(1); //返回2 linkedList.deleteAtIndex(1); //现在链表是1-> 3 linkedList.get(1); //返回3  

提示:

所有val值都在 [1, 1000] 之内。 操作次数将在  [1, 1000] 之内。 请不要使用内置的 LinkedList 库。

解题思路: 设计链表,主要是把整个链表想像成一个列表,通过列表的增删改查实现链表的整个功能逻辑

class MyLinkedList:

    def __init__(self):
        self.res = []

    def get(self, index: int) -> int:
        return  -1 if index < 0 or index >= len(self.res) else self.res[index]

    def addAtHead(self, val: int) -> None:
        self.res.insert(0, val)

    def addAtTail(self, val: int) -> None:
        self.res.append(val)

    def addAtIndex(self, index: int, val: int) -> None:
        if index < 0:
            self.res.insert(0, val)
        elif 0 <=index <= len(self.res):
            self.res.insert(index, val)

    def deleteAtIndex(self, index: int) -> None:
        if 0 <= index < len(self.res):
            del self.res[index]


# Your MyLinkedList object will be instantiated and called as such:
# obj = MyLinkedList()
# param_1 = obj.get(index)
# obj.addAtHead(val)
# obj.addAtTail(val)
# obj.addAtIndex(index,val)
# obj.deleteAtIndex(index)

执行结果:

image.png