01-Nginx基础学习

300 阅读6分钟

一、相关概念介绍

(一)正向代理 一个位于客户端的服务器(代理服务器),作为客户端与目标服务器之间的桥梁。为了从目标服务器取得内容,客户端向代理服务器发送一个请求并指定目标(目标服务器),然后代理服务器向目标服务器转交请求并将获得内容返回客户端。(VPN就是这个原理)

(二)反向代理 一个位于目标服务器的代理服务器。对于用户而言,反向代理服务器就相当于目标服务器,即用户直接访问代理服务器就可以获取目标服务器的资源。

(三)负载均衡 将工作任务进行分摊到多个操作单位上。

(四)动静分离

 静:html/css/js/png
 动:jsp/servlet
 从而提升整个服务器的性能和可维护性。

二 安装 Nginx

nginx 官网 stable 版本

三 常用命令

# 查看 nginx 版本
nginx -V

# 启动 nginx
start nginx

# 检查配置文件是否正确
nginx -t [ -c <configPath> ]

# 指定配置文件
nginx -c <configPath>

# 快速停止
nginx -s stop

# 正常退出
nginx -s quit

# 重新加载Nginx配置文件,然后以优雅的方式重启Nginx
nginx -s reload

# 重启Nginx
nginx - s reopen

四 Nginx 基本配置

image.png

#user  nobody;  # -运行用户,默认即使 nginx,可以不进行配置
worker_processes  1; # -工作进程量,一般与CPU核心数量一样
# -日志地址
# -start
#error_log  logs/error.log;
#error_log  logs/error.log  notice;
#error_log  logs/error.log  info;
# -end

#pid        logs/nginx.pid; # - nginx服务启动时,进程编号(pid)存放的地址


events {
    # use epoll # 使用 epoll 的 I/O 模型 (如果你不知该使用哪种轮询方法,nginx 会自动选择最适合的)
    worker_connections  1024; # -每个工作进程连接数
}


http {
    include       mime.types; # 文件类型与扩展名的映射表
    default_type  application/octet-stream; # 默认文件类型
    # 设置日志模式
    # start
    #log_format  main  '$remote_addr - $remote_user [$time_local] "$request" '
    #                  '$status $body_bytes_sent "$http_referer" '
    #                  '"$http_user_agent" "$http_x_forwarded_for"';
    #end

    #access_log  logs/access.log  main; # 访问日志存放的地址

    sendfile        on; # -开启高效传输
    #tcp_nopush     on; # 减少网络报文段的数量

    #keepalive_timeout  0;
    keepalive_timeout  65; # 保持链接的时间

    #gzip  on; # 是否开启压缩

    # include /etc/nginx/config.d/*.config  # 加载子配置项

    server {
        listen       80; # 配置监听端口
        server_name  localhost; # 配置域名

        #charset koi8-r;

        #access_log  logs/host.access.log  main;
        root   html; # 可以在这一级进行配置
        location / {
            # root   html; # 网站根目录 (可以提取到上一级进行配置)
            index  index.html index.htm; # 默认首页文件
            # deny 172.168.22.11 # 禁止访问的 ip 地址,可以为 all
            # allow 172.168.33.44 # 运行访问的 ip 地址, 可以为 all
        }

        #error_page  404              /404.html;

        # redirect server error pages to the static page /50x.html
        #
        error_page   500 502 503 504  /50x.html; # 默认 50x 对应的访问页面
        location = /50x.html {
            root   html;
        }

        # proxy the PHP scripts to Apache listening on 127.0.0.1:80
        #
        #location ~ \.php$ {
        #    proxy_pass   http://127.0.0.1;
        #}

        # pass the PHP scripts to FastCGI server listening on 127.0.0.1:9000
        #
        #location ~ \.php$ {
        #    root           html;
        #    fastcgi_pass   127.0.0.1:9000;
        #    fastcgi_index  index.php;
        #    fastcgi_param  SCRIPT_FILENAME  /scripts$fastcgi_script_name;
        #    include        fastcgi_params;
        #}

        # deny access to .htaccess files, if Apache's document root
        # concurs with nginx's one
        #
        #location ~ /\.ht {
        #    deny  all;
        #}
    }


    # another virtual host using mix of IP-, name-, and port-based configuration
    #
    #server {
    #    listen       8000;
    #    listen       somename:8080;
    #    server_name  somename  alias  another.alias;

    #    location / {
    #        root   html;
    #        index  index.html index.htm;
    #    }
    #}


    # HTTPS server
    #
    #server {
    #    listen       443 ssl;
    #    server_name  localhost;

    #    ssl_certificate      cert.pem;
    #    ssl_certificate_key  cert.key;

    #    ssl_session_cache    shared:SSL:1m;
    #    ssl_session_timeout  5m;

    #    ssl_ciphers  HIGH:!aNULL:!MD5;
    #    ssl_prefer_server_ciphers  on;

    #    location / {
    #        root   html;
    #        index  index.html index.htm;
    #    }
    #}

}

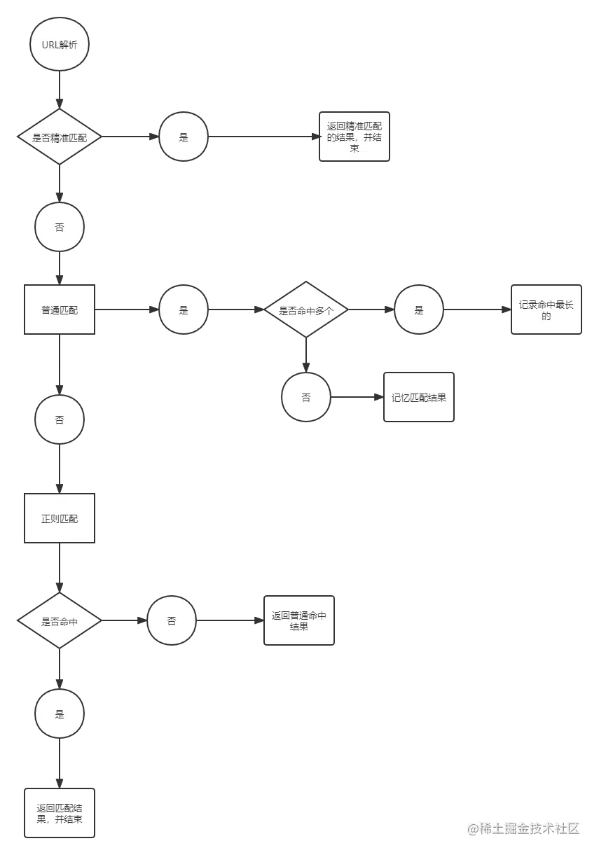
location 配置的规则

# 基本语法
location [= | ~ | ~* | ^~ ]/uri/ {}

# '=' 对请求的 uri 进行精确匹配
# '~' 对请求的 uri 进行正则匹配,区分大小写
# '~*' 对请求的 uri 进行正则匹配,不区分大小写
# '^~' 对请求的 uri 进行匹配,找到匹配度最高的。(会对请求的uri中的编码,进行自动处理)
  • 匹配优先级

未命名文件.png

配置注意事项

    1. 每行配置的机会需要加上分号 ;
    1. 如果配置项中包括语法符号,那么需要使用单引号或者双引号括住配置项值,否则Nginx会报错
    1. # 注释符
    1. 单位简写
  - K 或者 k 千字节 (KB)
  - M 或者 m 兆字节 (MB)
  - ms(毫秒),s(秒),m(分钟),h(小时),d(天),w(周),M(月),y(年)

五、虚拟主机配置

  • Windows 查看 IP 地址

win + r 输入 cmd
ipconfig => 看 IPV4

  • 一个 http 中 一个 server 配置,就是一个站点
server {
    listen: 80;
    server_name: edu.com;
    ....
}

六、反向代理

  • 配置语法
server {
    listen 80;
    server_name proxy.server.com;
  location / {
    proxy_pass  [url]; # 反向代理的地址
    proxy_method  [METHOD]; # 请求方式 GET POST
    proxy_set_header  Host $host; # 获取客户端的ip地址
    proxy_set_header X-Real-IP $remote_addr; # 获取所有转发请求的IP信息列表
    prox_set_header X-Forwarded_For $proxy_add_x_forwarded_for;
    proxy_send_timeout 60s;
    proxy_read_timeout 60s;
    proxy_connect_timeout 60s;
  }
}
  • example
server {
    listen 80;
    location / {
        proxy_pass  http://192.168.1.9:3000;
        proxy_method GET;
        proxy_set_header Host $host;
        proxy_set_header X-Real-IP $remote_addr;
        proxy_set_header X-Forwarded_For $proxy_add_x_forwarded_for;
        proxy_send_timeout 60s;
        proxy_read_timeout 60s;
        proxy_connect_timeout 60s;
    }
}

七、负载均衡

利用一定的分配策略将网络负载平衡地分摊到网络集群的各个操作单位上,从而减少用户等待的响应时间。 upstream是nginx的Http Upstream模块。通过一个简单的调度算法实现服务器端的负载均衡。

  • example
# 注意 jyp
upsteam jyp {
    server 192.168.1.9:8001;
    server 192.168.1.9:8002;
    server 192.168.1.9:8003;
}
server {
    location / {
        proxy_pass http://jyp;  # 使用上面 upstream 的配置 jyp
    }
}

语法

server address [parameters]
# address 必填,可以是主机名、域名、ip,也可以指定端口号
# parameters 是可选参数,可以是如下参数
#(1)down 可以是表示server已停用
#(2)backup 表示当前server是备用服务器,之后其他非backup的服务器都挂掉后或者都很忙才会分配到请求
# weight 表示当前server负载权重,权重越大请求几率越大,默认是1。通过设置它,可以配置轮询比率。
# max_fails 和 fail_timeout 一般关联使用,如果某台server在fail_timeout时间内出现了max_fails次连接失败,那么nginx就会认为其已经挂掉,从而fail_timeout时间内不会再去请求它。fail_timeout 默认是 10s,max_fails 默认是 1。即默认情况是只要发生错误就认为服务器挂掉了,如果将max_fails设置为0,则表示取消这项检查。

upstream jyp {
   server 192.168.1.9:8001 down; # 该服务器停用
   server 192.168.1.9:8002 backup; # 该服务器是备用服务器
   server 192.168.1.9:8003;
   server 192.168.1.9:8003 weight=2; # 该服务器的权重是2
}

负载均衡的策略

  • 轮询: 每个请求按时间顺序逐一分配到不同的后端服务器,如果后端服务器down掉后,能自动剔除。
  • 问题:会导致会话不一致,而产生登录验证问题。
  • 解决办法:设置 ip_hash。同一个客户端访问,会被分配到同一个后端服务。(注意:不能和 weight 同时使用。)
upstream jyp {
    ip_hash;
    server 192.168.1.9:3000;
    ....
}

八、动静分离

静态资源与动态资源分开部署&缓存处理

  • example
server {
    listen 80;
    server_name jyp;
    # 动态服务配置
    location / {
        proxy_pass http://192.168.1.9;
        proxy_set_header Host $host;
        proxy_set_header X-Real-IP $remote_addr;
        proxy_set_header X-Forwarded_For $proxy_add_x_forwarded_for;
        proxy_send_timeout 60s;
        proxy_read_timeout 60s;
        proxy_connect_timeout 60s;
    }
    # 静态资源
    location ~* \.(jpg|jpeg|png|svg|gif|js|icon)$ {
        root static; # 静态资源所在文件夹
        expires 1d; # Etag 对象标志,文件缓存过期时间
    }
}

压缩处理

  • 配置指令
gzip [on|off]; # 是否开启gzip压缩
gzip_buffer 4 16k; # 设置 gzip 申请内存的大小,作用是按指定大小的倍数申请内存空间。 4 16k 代表按照原始数据大小以 16k 为单位的 4倍 申请内存
gzip_comp_level [1-9] # 压缩级别,级别越高,压缩越小,但是会占用CPU资源
gzip_min_length 1024; # 开始压缩的最小长度(小于多少就不压缩),可以指定单位,比如 100k.指定单位则为字节,即 1024 = 1k
gzip_type text/plain application/xml; # 对哪些类型的文件做压缩 (config/gizp.config)
gzip_vary [on|off] # 是否传输 gzip 压缩标识。启用应答“Vary:Accept-Encoding”,给代理服务器用的,有的浏览器支持压缩,有的不支持。为了避免浪费不支持也压缩,所以根据客户端的HTTP请求头来判断,是否需要开启压缩。
  • example
gzip on;
gzip_min_length 5k;
gzip_buffers 4 16k;
gzip_comp_level 3;
gzip_types application/javascript image/jpeg;
gzip_vary on;
  • 注意事项

1、nginx 默认只对 text/html 进行压缩,如果对html之外的内容进行压缩传输,我们需要自己配置
2、太小的文件没有必要进行压缩
3、图片、音视频等文件,没有必要进行压缩处理

九、niginx -s reload 热部署原理

未命名文件 (1).png

十、nginx 解决跨域的配置

location / {
    add_header Access-Control-Allow-Origin *;
    add_header Access-Control-Allow-Methods 'GET,POST,OPTIONS';
    add_header Access-Control-Allow-Headers 'DNT,X-Mx-ReqToken,Keep-Alive,User-Agent,X-Requested-With,If-Modified-Since,Cache-Control,Content-type,Authorization';
    if($request_method = 'options') { return 204; }
    proxy_pass http://192.168.9.1;
}

十一、# nginx防盗链

location ~* \.(gif|jpg|png|swf|flv)$ {
    root html;
    valid_referers none blocked *.nginxcn.com;
    if ($invalid_referer) {
        # rewrite ^/http://www.baidu.com/404.jpg;
        return 403;
    }
}