C语言学习笔记

127 阅读2分钟

​「这是我参与2022首次更文挑战的第7天,活动详情查看:2022首次更文挑战」。

二维数组

二维数组本质上是以数组作为数组元素的数组,即“数组的数组”,类型说明符 数组名[常量表达式][常量表达式]。二维数组又称为矩阵,行列数相等的矩阵称为方阵。

二维数组的创建

//数组创建
int arr[3][4];//三行四列
char arr[3][5];
double arr [1][2];

二维数组的初始化

int arr[3][4] = { 1,2,3,4 };
int arr[3][4] = { {1,2},{4,5} };

二维数组的使用

二维数组的使用也是通过下标的方式

二维数组的储存

二维数组在内存中也是连续存储的

数组作为函数参数

void bubble_sort(int arr[],int sz)
{
	//确定冒泡排序的趟数
	int i = 0;
	for (i = 0; i < sz - 1; i++)
	{
		//每一趟冒泡排序
		int j = 0;
		for (j = 0; j < sz-1-i; j++)
		{
			if (arr[j] > arr[j + 1])
			{
				int tmp = arr[j];
				arr[j] = arr[j + 1];
				arr[j + 1] = tmp;
			}
		}
	}
}

int main()
{
	int arr[] = { 9, 8, 7, 6, 5, 4, 3, 2, 1, 0, };
	int i = 0;
	int sz= sizeof(arr) / sizeof(arr[0]);
	//对arr进行排序,排成升序
	//对arr数组进行传参,实际上传递过去的是数组arr首元素的地址 &arr[0]
	bubble_sort(arr,sz);//冒泡排序函数
	for (i = 0; i < sz; i++)
	{
		printf("%d ", arr[i]);
	}
	return 0;
}

冒泡函数排序:

它重复地走访过要排序的元素列,依次比较两个相邻的元素,如果顺序(如从大到小、首字母从Z到A)错误就把他们交换过来。走访元素的工作是重复地进行直到没有相邻元素需要交换,也就是说该元素列已经排序完成。

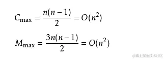
我们的数据是反序的,则需要进行n-1趟排序。每趟排序要进行n-i次比较(1≤i≤n-1),且每次比较都必须移动记录三次来达到交换记录位置。在这种情况下,比较和移动次数均达到最大值:

​​

 函数部分的效率优化(加入flag):

void bubble_sort(int arr[],int sz)
{
	//确定冒泡排序的趟数
	int i = 0;
	for (i = 0; i < sz - 1; i++)
	{
		int flag = 1;//假设这一趟要排序的数据已经有序
		//每一趟冒泡排序
		int j = 0;
		for (j = 0; j < sz-1-i; j++)
		{
			if (arr[j] > arr[j + 1])
			{
				int tmp = arr[j];
				arr[j] = arr[j + 1];
				arr[j + 1] = tmp;
				flag = 0;//本趟排序的数据其实不完全有序
			}
		}
		if (flag == 1)
		{
			break;//单独的if语句不可以用break,但是if在大循环for或while语句中是可以用的
		}
	}
}

数组名是什么?

int main()
{

	int arr[10] = { 1,2,3,4,5 };
	printf("%p\n", arr);
	printf("%p\n",&arr[0]);
	printf("%d\n", *arr);//1
	return 0;
}

根据此代码可得出:数组名是数组首元素(下标为0  即[0])地址(有两个例外)

如:

sizeof(数组名)—— 数组名表示整个数组,sizeof(数组名)计算的是整个数组的大小,单位是字节

&数组名,数组名代表整个数组,&数组名,取出的是整个数组的地址

int main()
{
	int arr[] = { 1,2,3,4,5,6,7 };
	printf("%p\n", arr);
	printf("%p\n", arr+1);

	printf("%p\n", &arr[0]);
	printf("%p\n", &arr[0]+1);

	printf("%p\n", &arr);
	printf("%p\n", &arr+1);

	return 0;
}